题目内容
要发射一颗人造地球卫星,使它在预定轨道上绕地球做匀速圆周运动,为此先将卫星发射到近地暂行轨道上绕地球做匀速圆周运动,如题23图所示,在A点,使卫星速度增加,从而使卫星进入一个椭圆的转移轨道上,当卫星到达转移轨道的远地点B时,再次改变卫星速度,使它进入预定轨道运行,已知地球表面的重力加速度大小为g,近地暂行轨道半径为地球的半径R.求:(1)卫星近地暂行轨道上绕地球做匀速圆周运动的速度大小和周期;
(2)若卫星从A点到B点所需的时间为t,试求:卫星预定轨道半径.
【答案】分析:(1)根据万有引力提供向心力求解.
(2)根据卫星从A点到B点所需的时间为t,确定出椭圆轨道的周期,再利用开普勒第三定律求解.
解答:解:(1)卫星在暂行轨道运行时:

知
=
故卫星近地暂行轨道上绕地球做匀速圆周运动的速度大小和周期分别为:
,2
.
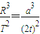
(2)设卫星预定轨道半径为r,当卫星在转移轨道运行,其半长轴为:a=
根据开普勒第三定律得:
解得:
故卫星预定轨道半径
.
点评:解决本题的关键掌握万有引力提供向心力和万有引力等于重力两知识点,以及会用开普勒第三定律解题.
(2)根据卫星从A点到B点所需的时间为t,确定出椭圆轨道的周期,再利用开普勒第三定律求解.
解答:解:(1)卫星在暂行轨道运行时:
知
故卫星近地暂行轨道上绕地球做匀速圆周运动的速度大小和周期分别为:
(2)设卫星预定轨道半径为r,当卫星在转移轨道运行,其半长轴为:a=
根据开普勒第三定律得:
解得:
故卫星预定轨道半径
点评:解决本题的关键掌握万有引力提供向心力和万有引力等于重力两知识点,以及会用开普勒第三定律解题.
练习册系列答案
相关题目