题目内容

(10分)内壁光滑的导热气缸竖直浸放在盛有27℃温水的恒温水槽中,用不计质量的活塞封闭了压强为、体积为的理想气体。现在活塞上方缓缓倒上质量为的沙子,封闭气体的体积变为;然后将气缸移出水槽,经过缓慢降温,气体温度最终变为。已知活塞面积为,大气压强为,g取,求:

(i)气体体积V1

(ii)气缸内气体的最终体积V2(结果保留两位有效数字).

 

【答案】

(1)(2)

【解析】

试题分析:(ⅰ)气缸在水槽中,往活塞上方缓缓倒沙子过程中,气体发生等温变化

Pa        ①

根据玻意耳定律有

                        ②

解得:                            ③

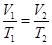
(ⅱ)移除水槽后,气体发生等压变化,根据盖-吕萨克定律得:

                         ④

解得:                            ⑤

评分参考:第(ⅰ)问6分,①②③式各2分;第(ⅱ)问4分,④⑤式各2分。

考点:气体热力学定律

 

练习册系列答案
相关题目

违法和不良信息举报电话:027-86699610 举报邮箱:58377363@163.com

精英家教网