题目内容
【答案】分析:根据牛顿第二定律,求出3t时刻的速度,然后根据P=Fv求出3t时刻的瞬时功率.
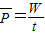
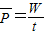
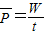
根据动能定理,求出从t=0到3t这段时间内,水平力所做的功,然后根据
求出水平力的平均功率.
解答:解:在0-2t时间内,a=
=
,则2t时刻的瞬时速度v1=a?2t=2at,在2t-3t时间内,a′=
,则3t时刻的瞬时速度v=v1+a′t=
.所以3t时刻的瞬时功率P=3F0×
=
在0-2t时间内的位移为
在2t-3t时间内的位移为
总位移s=s1+s2
根据动能定理得,W=
+Fs
=
联立以上各式解得:
故答案为:
; 
点评:解决本题的关键掌握瞬时功率的公式P=Fvcosθ,以及平均功率的公式
根据动能定理,求出从t=0到3t这段时间内,水平力所做的功,然后根据
解答:解:在0-2t时间内,a=
在0-2t时间内的位移为
在2t-3t时间内的位移为
总位移s=s1+s2
根据动能定理得,W=
联立以上各式解得:
故答案为:
点评:解决本题的关键掌握瞬时功率的公式P=Fvcosθ,以及平均功率的公式
练习册系列答案
相关题目
| A、0~t1内拉力逐惭减小 | ||
| B、0~t1内拉力对物体做负功 | ||
| C、在t1~t2时间内拉力的功率为零 | ||
D、在t1~t2时间内合外力做功
|