题目内容

已知地球半径R=6.4×106m,地球表面的重力加速度g=9.8m/s2,大气压p0=1.0×105Pa,空气的平均摩尔质量为M=2.9×10-2kg/mol,阿伏加德罗常数NA=6×1023个/mol,在下列问题的探索中还可查用其他数据.

(1)估算地球周围大气层的空气分子数;

(2)假如把地球大气全部变为液体而分布在地球表面,地球的半径将增加多少?

答案:
解析:

  (1)已知空气平均摩尔质量M,为了计算空气分子数,就必须求出大气总质量m,再联想到“大气压是由大气重量产生的”这一结论,由大气压P0和地球半径就能求出大气的总质量m.

     p0

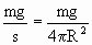
   m==5.2×1018kg

空气分子数为

    n=×6×1023个=1×1044

  这里也许有人认为,不同高度处重力加速度是不同的,上面的估算是不成立的,为了回答这一问题,我们可以研究一下大气层不同高度重力加速度的变化到底有多大.从有关资料(例如高中地理课本)中可以查出:大气质量的99.9%集中在50km以下的范围内,由万有引力定律得地球表面处的重力加速度

       g=

地面上方h高度处的重力加速度

       

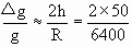
重力加速度的相对变化

        =1-

R=6400km,取h=50km,h远小于R,上式可简化为

        =1.6%

作为估算,这样的加速度变化可以忽略,而近似地认为大气层不同高度处加速度是相同的.

  (2)不同液体的密度是不同的,如水银为13.6×103kg/m3,水为1.0×103kg/m3,酒精为0.8×103kg/m3,可以看出液体密度的数量级为103kg/m3.下面我们用水的密度来代替液化空气的密度,液化空气的体积

      V==5.2×1015m3

设大气变为液体分布在地球表面,半径增加y,则有

      π(R+y)3πR3=V

      3R2y+3Ry2+y3V

考虑到y远小于R,忽略y的二次项和三次项,得

      y=≈10m

  这个结论也可以从另一角度很容易地得到,大气压强p0=1×105Pa,约等于10m高的水柱产生的压强,所以把大气液体成与水的密度相同的液体,它的厚度约为10m.同理如空气液化成与水银密度相同的液体,厚度为0.76m.这里虽然没有一个确定的数值,但能使我们对问题有一个大致的、数量级上的了解.


练习册系列答案
相关题目

违法和不良信息举报电话:027-86699610 举报邮箱:58377363@163.com

精英家教网