题目内容

质量为M 的物块以速度v运动,与质量为m的静止物块发生正碰,碰撞后两者同向运动且M的动量大小是m的2倍.两者质量之比M/m可能为

A.1    B.3    C.4    D.7

 

【答案】

BC

【解析】

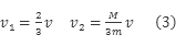
试题分析:由动量守恒得:  

 

 得: 

由能量守恒,得: 

因此选项BC正确。

考点:动量守恒  能量守恒

 

练习册系列答案
相关题目

违法和不良信息举报电话:027-86699610 举报邮箱:58377363@163.com

精英家教网