题目内容

“伽利略”号木星探测器从1989年10月进入太空起,历时6年,行程37亿千米,终于到达木星周围.此后要在2年内绕木星运行11圈,对木星及其卫星进行考察,最后进入木星大气层烧毁.设这11圈它都是绕木星在同一个圆周上运行,试求探测器绕木星运行的轨道半径和速率.已知木星的质量为1.9×1027 kg.

答案:
解析:

  答案:4.7×109 m 5.2×103 m/s

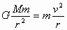
  解析:探测器在2年内绕木星运行11圈,可以知道探测器的运行周期,然后再结合万有引力提供探测器的向心力,可以求出半径和速率.由v=(式中n为圈数)和公式,得r==4.7×109 m,v==5.2×103 m/s.


练习册系列答案
相关题目

违法和不良信息举报电话:027-86699610 举报邮箱:58377363@163.com

精英家教网