ÌâÄ¿ÄÚÈÝ

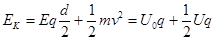
ÈçͼËùʾΪÁ½×鯽ÐнðÊô°å£¬Ò»×éÊúÖ±·ÅÖã¬Ò»×éˮƽ·ÅÖ㬽ñÓÐÒ»ÖÊÁ¿Îªm¡¢µçÁ¿ÎªqµÄµç×Ó¾²Ö¹ÔÚÊúÖ±·ÅÖÃµÄÆ½ÐнðÊô°åµÄAµã£¬¾­µçѹU0¼ÓËÙºóͨ¹ýBµã½øÈëÁ½°å¼ä¾àΪd¡¢µçѹΪUµÄˮƽ·ÅÖÃµÄÆ½ÐнðÊô°å¼ä£¬Èôµç×Ó´ÓÁ½¿éˮƽƽÐаåµÄÕýÖмäÉäÈ룬ÇÒ×îºóµç×Ó¸ÕºÃÄÜ´ÓÓÒ²àµÄÁ½¿éƽÐнðÊô°å´©³ö£¬A¡¢B·Ö±ðΪÁ½¿éÊúÖ±°åµÄÖе㣬Çó£º

£¨1£©µç×Óͨ¹ýBµãʱµÄËÙ¶È´óС£»

£¨2£©ÓÒ²àÆ½ÐнðÊô°åµÄ³¤¶È£»

£¨3£©µç×Ó´©³öÓÒ²àÆ½ÐнðÊô°åʱµÄ¶¯ÄÜ¡£

 

¡¾´ð°¸¡¿

£¨1£©£¨2£©£¨3£©

¡¾½âÎö¡¿

ÊÔÌâ·ÖÎö£º£¨1£©Óɶ¯Äܶ¨Àí£¬½âµÃ£»£¨2£©Á£×ÓÔÚÆ«×ªµç³¡ÖÐÊúÖ±·½Ïò×öÔȼÓËÙÔ˶¯ £¬½âµÃ;£¨3£©¸ù¾Ý¶¯Äܶ¨Àí£¬µç×Ó´©³öÓÒ²àÆ½ÐнðÊô°åʱµÄ¶¯ÄÜ ¡£

¿¼µã£º´ËÌ⿼²é¶¯Äܶ¨Àí¼°ÀàÆ½Å×Ô˶¯¡£

 

Á·Ï°²áϵÁдð°¸
Ïà¹ØÌâÄ¿

Î¥·¨ºÍ²»Á¼ÐÅÏ¢¾Ù±¨µç»°£º027-86699610 ¾Ù±¨ÓÊÏ䣺58377363@163.com

¾«Ó¢¼Ò½ÌÍø