题目内容
2011年11月1日“神舟八号”飞船发射升空后,先后经历了5次变轨,调整到处于“天宫一号”目标飞行器后方约52公里处,并与“天宫一号”处于同一离地面高343公里的圆形轨道上,与“天宫一号”实施首次交会对接,完成浪漫的“太空之吻”.在实施对接前“神舟八号”飞船与“天宫一号”目标飞行器轨道示意图如图所示,忽略它们之间的万有引力,则( )A.“神舟八号”飞船与“天宫一号”飞行器受到地球的吸引力大小相等
B.“神舟八号”飞船与“天宫一号”飞行器的加速度大小相等
C.“神舟八号”飞船比“天宫一号”飞行器的速度大
D.“神舟八号”飞船与“天宫一号”飞行器速度一样大,但比地球同步卫星速度小
【答案】分析:“天宫一号”与“神舟八号”飞船均绕地球做匀速圆周运动,根据人造卫星的万有引力等于向心力,列式求出线速度、角速度、周期和向心力的表达式进行讨论即可.
解答:解:A:由于“神舟八号”飞船与“天宫一号”飞行器的质量不清楚,所以“神舟八号”飞船与“天宫一号”飞行器受到地球的吸引力大小关系不确定,故A错误;
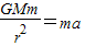
B、万有引力提供向心力,有
,得:
,所以“神舟八号”飞船与“天宫一号”飞行器的加速度大小相等,故B正确
C:
,得:
,“神舟八号”飞船比“天宫一号”飞行器的速度大小相等,故C错误
D:“神舟八号”飞船与“天宫一号”的轨道半径都小于同步轨道卫星的轨道半径,故它们的线速度都大于同步轨道卫星的速度.故D错误.
故选:B
点评:本题关键抓住万有引力提供向心力,先列式求解出线速度、角速度、周期和加速度的表达式,再进行讨论.
解答:解:A:由于“神舟八号”飞船与“天宫一号”飞行器的质量不清楚,所以“神舟八号”飞船与“天宫一号”飞行器受到地球的吸引力大小关系不确定,故A错误;
B、万有引力提供向心力,有
C:
D:“神舟八号”飞船与“天宫一号”的轨道半径都小于同步轨道卫星的轨道半径,故它们的线速度都大于同步轨道卫星的速度.故D错误.
故选:B
点评:本题关键抓住万有引力提供向心力,先列式求解出线速度、角速度、周期和加速度的表达式,再进行讨论.
练习册系列答案
相关题目