题目内容
国际空间站是迄今最大的太空合作项目,其离地高度为H,绕地球做圆周运动的周期为T.又知万有引力常量G,地球半径R以及地球表面重力加速度g.根据题给条件给出两种计算地球质量的方法,并解得结果.
【答案】分析:第一种方法:国际空间站绕地球做圆周运动所需的向心力由地球的万有引力提供,根据牛顿第二定律求出地球的质量.第二种方法:根据重力近似万有引力求出地球的质量.
解答:解:设空间站的质量为m,设地球的质量M.
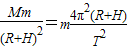
方法一:对空间站绕地球做圆周运动,由地球的万有引力提供空间站圆周运动的向心力得到
G
解得 M=
方法二:在地面P空间站的重力近似等于万有引力,
由
解得
答:计算地球质量的方法是:方法一:对空间站绕地球做圆周运动,由地球的万有引力提供空间站圆周运动的向心力求解,地球质量 M=
.方法二:在地面P空间站的重力近似等于万有引力,地球质量
.
点评:这是求解地球质量常用的两种方法:一种利用圆周运动知识和万有引力综合;一种利用重力与万有引力的关系求解.
解答:解:设空间站的质量为m,设地球的质量M.
方法一:对空间站绕地球做圆周运动,由地球的万有引力提供空间站圆周运动的向心力得到
G
解得 M=
方法二:在地面P空间站的重力近似等于万有引力,
由
解得
答:计算地球质量的方法是:方法一:对空间站绕地球做圆周运动,由地球的万有引力提供空间站圆周运动的向心力求解,地球质量 M=
点评:这是求解地球质量常用的两种方法:一种利用圆周运动知识和万有引力综合;一种利用重力与万有引力的关系求解.
练习册系列答案
相关题目