题目内容
如图所示,质量为
,的物体A经一轻质弹簧与下方地面上的质量为
的物体B相连,弹簧的劲度系数为k,A、B都处于静止状态.一条不可伸长的轻绳绕过轻滑轮,一端连物体A,另一端连一轻挂钩.开始时各段绳都处于伸直状态,A上方的一段绳沿竖直方向.现在挂钩上挂一质量为
的物体C并从静止状态释放,已知它恰好能使B离开地面但不继续上升.若将C换成另一个质量为(
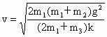
)的物体D,仍从上述初始位置由静止状态释放,则这次B刚离地时D的速度的大小是多少?(已知重力加速度为g).
答案:略
解析:
解析:
|
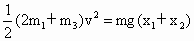
开始时, A、B静止,设弹簧压缩量为
在解此题时,关键是找到弹簧的平衡状态,利用动能定理和机械能守恒定律来求解,注意在不同状态下弹簧的状态不同. |
练习册系列答案
相关题目
| A、1N | B、6N | C、9N | D、12N |
如图所示,质量为M的半球形容器静止在水平桌面上,质量为m的木块静止在容器内P点,O点为容器的球心,已知OP与水平方向的夹角为α.下列结论正确的是( )

| A、木块受到的摩擦力大小是mgsinα | B、木块对容器的压力大小是mgcosα | C、桌面对容器的摩擦力大小是mgsinαcosα | D、桌面对容器的支持力大小是(M+m)g |