题目内容
如图所示,一平行板电容器与电源相连,从负极板上某处释放一个电子e,设其到达正极板的速度为v1,运动过程中加速度为a1,现将两板间距离增为原来的2倍,再从负极板处释放一电子,设其到达正极板的速度为v2,运动过程中加速度为a2,则( )A.
B.
C.
D.
【答案】分析:平行板电容器之间形成匀强电场,电子在电场中做匀加速运动,根据牛顿第二定律求出加速度,根据动能定理求出速度即可求解.
解答:解:设电容器两端电压为U,距离为d,则:
E=
根据牛顿第二定律得:
a=
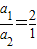
若将两板间距离增为原来的2倍,则:

故A错误,B正确;
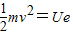
电子从负极移动到正极的过程中运用动能定理得:

解得:v=
可见速度与极板间的距离无关,若将两板间距离增为原来的2倍,则其到达正极板的速度不变,即
故C错误,D正确.
故选BD
点评:本题主要考查了牛顿第二定律及动能定理的应用,知道电容器跟电源相连时,电容器两端电压不变.
解答:解:设电容器两端电压为U,距离为d,则:
E=
根据牛顿第二定律得:
a=
若将两板间距离增为原来的2倍,则:
故A错误,B正确;
电子从负极移动到正极的过程中运用动能定理得:
解得:v=
可见速度与极板间的距离无关,若将两板间距离增为原来的2倍,则其到达正极板的速度不变,即
故C错误,D正确.
故选BD
点评:本题主要考查了牛顿第二定律及动能定理的应用,知道电容器跟电源相连时,电容器两端电压不变.
练习册系列答案
相关题目
| A、E增大,U减小 | B、E不变,U增大 | C、E增大,电荷有向上的加速度 | D、E不变,电荷电势能变小 |