题目内容

质量为m的物体以速度从地面竖直向上抛出,物体落回地面时,速度大小为,设物体在运动中所受空气阻力大小不变,求:

(1)物体运动过程中所受空气阻力的大小.

(2)物体以初速度竖直向上抛出时能达到的最大高度;若物体落地碰撞过程中无能量损失,求物体运动的总路程.

答案:略
解析:

(1)物体运动过程中所受的阻力为

(2)物体以初速度上抛所能达到的最大高度的为;物体运动的总路程为

(1)设此物体上升可达到的最大高度为h,所受空气阻力为f,由动能定理可得

上升阶段:   ①

下升阶段:  ②

由①、②两式可得(mg+f)/(mg-f)=16/9

解之可得

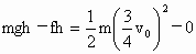
(2)设上升的最大高度为,由动能定理得

上升的最大高度

设物体从抛出到停止,运动所经的总路程为s,由动能定理可得

代入


练习册系列答案
相关题目

违法和不良信息举报电话:027-86699610 举报邮箱:58377363@163.com

精英家教网