题目内容
(1)4s末物体的速度;
(2)从4s末到6s末的时间段内物体的合外力;
(3)开始6s内物体的位移.
【答案】分析:物体参与了两个运动,根据v-t图象知道,一个是先匀速直线运动,再匀减速,另一个是先匀加速直线运动,再匀减速直线运动.
根据运动的合成去求解有关的物理量.
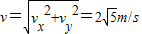
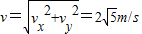
解答:解:(1)由图象可知:
4s末,vx=2m/s,
=4m/s,所以,
,
设v与x轴正向夹角为α,则tanα=
=2,即α=arctan2;
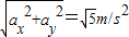
(2)由图象可知,
4s末到6s末,
,
,
则a=
,
设a与x轴正向夹角为β,则tanβ=
=2,即β=π-arctan2
所以合力为:F=ma=2
N;
(3)速度-时间图象与横轴所围的面积表示位移,由图象可知,
开始6s内,
,
,
则位移S=
,
设S与x轴正向夹角为θ,则tanθ=
=
,即θ=arctan
.
答:(1)4s末物体的速度为
,方向与x轴正向夹角为arctan2;
(2)从4s末到6s末的时间段内物体的合外力为2
N;
(3)开始6s内物体的位移为
.
点评:能从图象中获取尽量多的信息是解决图象问题的关键.
对于矢量的合成应该运用平行四边形法则.
根据运动的合成去求解有关的物理量.
解答:解:(1)由图象可知:
4s末,vx=2m/s,
设v与x轴正向夹角为α,则tanα=
(2)由图象可知,
4s末到6s末,
则a=
设a与x轴正向夹角为β,则tanβ=
所以合力为:F=ma=2
(3)速度-时间图象与横轴所围的面积表示位移,由图象可知,
开始6s内,
则位移S=
设S与x轴正向夹角为θ,则tanθ=
答:(1)4s末物体的速度为
(2)从4s末到6s末的时间段内物体的合外力为2
(3)开始6s内物体的位移为
点评:能从图象中获取尽量多的信息是解决图象问题的关键.
对于矢量的合成应该运用平行四边形法则.
练习册系列答案
相关题目