题目内容
已知O、A、B、C为同一直线上的四点,AB间的距离为l1,BC间的距离为l2,一物体自O点静止起出发,沿此直线做匀加速运动,依次经过A、B、C三点.已知物体通过AB段与通过BC段所用时间相等.求O与A的距离.
【答案】分析:物体做匀加速运动,加速度不变.对AB段、BC段时间相等,分别用位移关系公式列方程求出加速度和初速度,再由速度位移关系公式求解有O与A的距离.
解答:解:设物体的加速度为a,到达A点的速度为v,通过AB段和BC点所用的时间为t,
则l1=vt+
at2 ①
l1+l2=v?2t+
a(2t)2 ②
联立②-①×2得 a=
③
v=
④
设O与A的距离为l,则有 l=
⑤
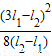
将③、④两式代入⑤式得 l=
.
答:有O与A的距离为l=
.
点评:本题是多过程问题,除了分别对各个过程进行研究外,重要的是寻找过程之间的联系,列出关系式.本题求加速度,也用推论△x=aT2直接求解.
解答:解:设物体的加速度为a,到达A点的速度为v,通过AB段和BC点所用的时间为t,
则l1=vt+
l1+l2=v?2t+
联立②-①×2得 a=
v=
设O与A的距离为l,则有 l=
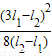
将③、④两式代入⑤式得 l=
答:有O与A的距离为l=
点评:本题是多过程问题,除了分别对各个过程进行研究外,重要的是寻找过程之间的联系,列出关系式.本题求加速度,也用推论△x=aT2直接求解.
练习册系列答案
相关题目