题目内容
如图所示,质量为m的物体(可视为质点)以某一速度从A点冲上倾角为30°的固定斜面,其运动的加速度大小为
,此物体在斜面上上升的最大高度为h,则在这个过程中物体
![]()
A.重力势能增加了
B.克服摩擦力做功![]()
C.动能损失了
D.机械能损失了![]()
【答案】
AD
【解析】
试题分析:上升的高度为h,因此上升过程中,克服重力做功
,因此重力能增加了
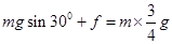
,A正确;由牛顿第二定律可知
,可知摩擦力
,因此克服摩擦力做的功
,因此机械能损失了
,B错误,D正确;上升的过程中,合外力大小为
,因此上升过程中,克服合外力做功为
,这样动能损失了
,C错误。
考点:功能关系,动能定理
练习册系列答案
相关题目
| A、地面对楔形物块的支持力为(M+m)g | B、地面对楔形物块的摩擦力为零 | C、楔形物块对小物块摩擦力可能为零 | D、小物块一定受到四个力作用 |