题目内容
在“探究加速度与力、质量关系”的实验中,(1)某小组得到一条打点的纸带,如图所示,已知相邻计数点间的时间间隔为T,且间距x1、x2、x3、x4、x5、x6已量出,则D点的瞬时速度的表达式:vD=______;加速度的表达式:a=______
(2)另一小组在该实验中得到了如下一组实验数据:
| F/N | 0.196 | 0.294 | 0.392 | 0.490 | 0.588 |
| a/m?s-2 | 0.25 | 0.58 | 0.90 | 1.20 | 1.53 |
②从图中可以发现实验操作中存在的问可能是______(填字母序号)
A.实验没有平衡摩擦力
B.实验中平衡摩擦力时木板倾角过小
C.实验中平衡摩擦力时木板倾角过大
D.实验中小车质量发生变化.
【答案】分析:根据匀变速直线运动的推论求得D点速度和加速度;
由实验数据描点连线;
如果直线在F轴上截距不为0,则平衡摩擦力时木板倾角过小,如果直线在a轴上截距为正,则平衡摩擦力时木板倾角过大.
解答:解:(1)由匀变速直线运动的推论:VD=
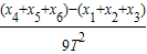
逐差法求加速度:x4-x1=aT2①
x5-x2=aT2②
x6-x3=aT2③
①②③左右两边相加得:
a=
(2)

(3)由上图知直线截距在F轴上,即拉力的数值增大到一定值后小车才有加速度,所以是没有平衡摩擦力或者平衡摩擦力时倾角过小.故选:AB.
故答案为:(1)
(2)如图 (3)AB
点评:本题考查验证牛顿第二定律实验中的数据处理以及误差分析,属于中档难度
由实验数据描点连线;
如果直线在F轴上截距不为0,则平衡摩擦力时木板倾角过小,如果直线在a轴上截距为正,则平衡摩擦力时木板倾角过大.
解答:解:(1)由匀变速直线运动的推论:VD=
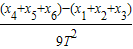
逐差法求加速度:x4-x1=aT2①
x5-x2=aT2②
x6-x3=aT2③
①②③左右两边相加得:
a=
(2)
(3)由上图知直线截距在F轴上,即拉力的数值增大到一定值后小车才有加速度,所以是没有平衡摩擦力或者平衡摩擦力时倾角过小.故选:AB.
故答案为:(1)
点评:本题考查验证牛顿第二定律实验中的数据处理以及误差分析,属于中档难度
练习册系列答案
相关题目