题目内容

如图所示,水平地面上有一辆固定有竖直光滑绝缘管的小车,管的底部有一质量m=0.2 g、电荷量q=8×10-5 C的小球,小球的直径比管的内径略小.在管口所在水平面MN的下方存在着垂直纸面向里、磁感应强度B1=15 T的匀强磁场,MN面的上方还存在着竖直向上、场强E=25 V/m的匀强电场和垂直纸面向外、磁感应强度B2=5 T的匀强磁场.现让小车始终保持v=2 m/s的速度匀速向右运动,以带电小球刚经过场的边界PQ为计时的起点,测得小球对管侧壁的弹力FN随高度h变化的关系如图所示.g取10 m/s2,不计空气阻力.求:

(1)小球刚进入磁场B1时的加速度大小a

(2)绝缘管的长度L

(3)小球离开管后再次经过水平面MN时距管口的距离Δx

答案:
解析:

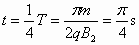
  解:(1)以小球为研究对象,竖直方向小球受重力和恒定的洛伦兹力f1,故小球在管中竖直方向做匀加速直线运动,加速度设为a,则

    (4分)

  (2)在小球运动到管口时,FN=2.4×10-3 N,设v1为小球竖直分速度,由

  ,则  (3分)

  由  (3分)

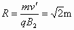
  (3)小球离开管口进入复合场,其中qE=2×10-3 N,mg=2×10-3 N.(1分)

  故电场力与重力平衡,小球在复合场中做匀速圆周运动,合速度MN成45°角,轨道半径为R  (1分)

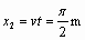
  小球离开管口开始计时,到再次经过MN所通过的水平距离  (1分)

  对应时间  (1分)

  小车运动距离为x2  (1分)


练习册系列答案
相关题目

违法和不良信息举报电话:027-86699610 举报邮箱:58377363@163.com

精英家教网