题目内容
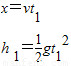
《愤怒的小鸟》是一款时下非常流行的游戏,故事也相当有趣,如图甲,为了报复偷走鸟蛋的肥猪们,鸟儿以自己的身体为武器,如炮弹般弹射出去攻击肥猪们的堡垒.某班的同学们根据自己所学的物理知识进行假设:小鸟被弹弓沿水平方向弹出,如图乙所示.请回答下面两位同学提出的问题(不计小鸟受到的空气阻力):(1)A同学问:如图乙所示,若h1=0.8m,l1=2m,h2=2.4m,l2=1m,小鸟飞出能否直接打中肥猪的堡垒?请用计算结果进行说明.(取重力加速度g=10m/s2)
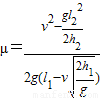
(2)B同学问:如果小鸟以速度v水平弹出后,先掉到台面的草地上,接触台面瞬间竖直速度变为零,水平速度不变,小鸟在草地上滑行一段距离后飞出,若要打中肥猪,小鸟和草地间的动摩擦因数μ应为多少(用题中所给的符号v、h1、l1、h2、l2、g表示)?
【答案】分析:(1)假设小鸟飞出能直接打中肥猪的堡垒,根据高度差与水平位移求出运动的初速度,然后判断以该初速度平抛运动,下落的高度为h1时,水平位移是否大于l1.
(2)以初速度v水平弹出求出平抛运动的水平位移,根据第二次平抛运动的水平位移和高度,求出再次平抛运动的初速度,然后结合牛顿第二定律和运动学公式求出动摩擦因数.
解答:解:(1)设小鸟以v弹出能直接击中堡垒,则:

得t=0.8s,vo=3.75m/s,考虑h1高度处的水平射程为x,

得x=1.5m<L1.可见小鸟先落到台面的草地上,不能直接击中堡垒.
(2)小鸟先做初速度为v的平抛运动,后在草地上滑行,再乙速度为v击中肥猪.
,
,
又-μmg=ma
所以
,代入上述表达式得:

答:(1)小鸟飞出不能直接打中肥猪的堡垒.
(2)小鸟和草地间的动摩擦因数μ应为
.
点评:解决本题的关键知道平抛运动在水平方向和竖直方向上的运动规律,灵活运用运动学公式进行求解.
(2)以初速度v水平弹出求出平抛运动的水平位移,根据第二次平抛运动的水平位移和高度,求出再次平抛运动的初速度,然后结合牛顿第二定律和运动学公式求出动摩擦因数.
解答:解:(1)设小鸟以v弹出能直接击中堡垒,则:
得t=0.8s,vo=3.75m/s,考虑h1高度处的水平射程为x,
得x=1.5m<L1.可见小鸟先落到台面的草地上,不能直接击中堡垒.
(2)小鸟先做初速度为v的平抛运动,后在草地上滑行,再乙速度为v击中肥猪.
又-μmg=ma
所以
答:(1)小鸟飞出不能直接打中肥猪的堡垒.
(2)小鸟和草地间的动摩擦因数μ应为
点评:解决本题的关键知道平抛运动在水平方向和竖直方向上的运动规律,灵活运用运动学公式进行求解.
练习册系列答案
相关题目