题目内容
两颗人造卫星A、B绕地球做匀速圆周运动,周期之比TA∶TB=1∶8,则轨道半径之比和运动速度之比分别为
[ ]
A.
RA∶RB=4∶1,vA∶vB=1∶2
B.
RA∶RB=4∶1,vA∶v=2∶1
C.
RA∶RB=1∶4,vA∶vB=1∶2
D.
RA∶RB=1∶4,vA∶vB=2∶1
答案:D
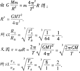
解析:
解析:
|
|
练习册系列答案
相关题目
两颗人造卫星A、B绕地球做圆周运动,周期之比为T1:T2=8:1,则它们的轨道半径之比和运行速率之比分别为( )
| A、R1:R2=4:1,v1:v2=1:2 | B、R1:R2=1:4,v1:v2=2:l | C、R1:R2=1:4,v1:v2=1:2 | D、R1:R2=4:1,v1:v2=2:1 |