题目内容

在光滑平面上,有一质量的小车,通过一根几乎不可伸长的轻绳与另一质量的拖车相连,一质量的物体放在拖车的平板上,物体与平板间的动摩擦因数μ=0.2.开始时,拖车静止,绳未拉紧,如图所示,小车以的速度前进,求:

(1)以同一速度前进时,其速度的大小;

(2)物体在拖车平板上移动的距离.(取)

答案:略
解析:

解析:(1)绳子刚拉紧时,作用时间极短,且水平地面光滑.所以组成的系统动量守恒,即

(2)如果误认为绳子“不可伸长”的绳连接体间,在相互作用时没有动能损失,将会错误地写出下式:

显然,在上式中没有考虑到绳子在绷直过程中所消耗的动能.正确的解法应该是:先把看成一个系统,由于绳子不可伸长,所以在绳子拉直的过程中作用时间极短,此时虽受的摩擦力作用,但可忽略,且在作用后的瞬间,可看成是静止的,因此动量守恒.有

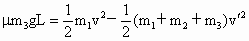
作用后,对于组成的系统,由动能定理得

联立①②③式解得L=1/3m

由此可见,在解绳连接体相互作用的问题时,抓住动量守恒、动能不守恒这两个特点是关键.

点评:由于绳连接体作用时间极短,所以内力很大.在这样的情况下,即使系统受外力作用,一般也认为动量仍近似守恒.注意:尽管绳子不可伸长,但在绳被拉紧时有机械能损失.


练习册系列答案
相关题目

违法和不良信息举报电话:027-86699610 举报邮箱:58377363@163.com

精英家教网