ÌâÄ¿ÄÚÈÝ
·¢µçվͨ¹ýÉýѹ±äѹÆ÷¡¢Êäµçµ¼ÏߺͽµÑ¹±äѹÆ÷°ÑµçÄÜÊäË͵½Óû§£¬Èç¹ûÉýѹ±äѹÆ÷ºÍ½µÑ¹±äѹÆ÷¶¼¿ÉÊÓΪÀíÏë±äѹÆ÷£®£¨1£©Èô·¢µç»úµÄÊä³ö¹¦ÂÊÊÇ100kW£¬Êä³öµçѹÊÇ250VÉýѹ±äѹÆ÷µÄÔ¡¢¸±ÏßȦµÄÔÑÊý±ÈΪ 1£º25£¬ÇóÉýѹ±äѹÆ÷µÄÊä³öµçѹºÍÊäµçµ¼ÏßÖеĵçÁ÷£®
£¨2£©ÈôÊäµçµ¼ÏßÖеĵ繦ÂÊËðʧΪÊäÈ빦ÂʵÄ4%£¬ÇóÊäµçµ¼ÏßµÄ×ܵç×èºÍ½µÑ¹±äѹÆ÷ÔÏßȦÁ½¶ËµÄµçѹ£®
£¨3£©¼ÆË㽵ѹ±äѹÆ÷µÄÊä³ö¹¦ÂÊ£®
¡¾´ð°¸¡¿·ÖÎö£ºÍ¨¹ýÀíÏëÉýѹ±äѹÆ÷T1½«µçË͵½Óû§¸½½ü£¬È»ºóÓÃÀíÏ뽵ѹ±äѹÆ÷T2ÏòÔ¶´¦Óû§¹©µç¼ÒÖУ®ÌáÉýµçѹµÄÄ¿µÄÊǽµµÍÏß·µÄ¹¦ÂÊËðʧ£¬´Ó¶øÌá¸ßÓû§µÃµ½µÄ¹¦ÂÊ£®
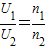
½â´ð£º½â£º£¨1£©ÓÉÀíÏë±äѹÆ÷µÄµçѹÓëÔÑÊý¹ØÏµ¿ÉµÃ£º
¼´
½âµÃ£ºU³ö=6250V
ÓÉ
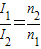
ÔÙÀíÏë±äѹÆ÷µÄµçÁ÷ÓëÔÑÊý¹ØÏµ¿ÉµÃ£º
½âµÃ£ºI2=16A
£¨2£©ÓÉÌâÒâ¿ÉÖª£ºPËð=P³ö4%=4000W
¶øPËð=I22R
ÓÉÓÚ
ÔòUËð=I2R=250V
U3=6250-250=6000V
£¨3£©ËùÒÔP³ö=100×103×96%=96KW
´ð£º£¨1£©ÔòÉýѹ±äѹÆ÷µÄÊä³öµçѹ6250VºÍÊäµçµ¼ÏßÖеĵçÁ÷16A£®
£¨2£©ÈôÔòÊäµçµ¼ÏßµÄ×ܵç×è
ºÍ½µÑ¹±äѹÆ÷ÔÏßȦÁ½¶ËµÄµçѹ6000V£®
£¨3£©½µÑ¹±äѹÆ÷µÄÊä³ö¹¦ÂÊΪ96KW£®
µãÆÀ£ºÀíÏë±äѹÆ÷µÄÊäÈ빦ÂÊÓëÊä³ö¹¦ÂÊÏàµÈ£¬ÇÒûÓЩ´ÅÏÖÏó£®Ô¶¾àÀëÊäµç£¬ÓÉÓÚµ¼Ïßͨµç·¢Èȵ¼ÖÂÄÜÁ¿Ëðʧ£¬ËùÒÔͨ¹ýÌá¸ßÊäË͵çѹ£¬´Ó¶øÊµÏÖ½µµÍµçËð£®
½â´ð£º½â£º£¨1£©ÓÉÀíÏë±äѹÆ÷µÄµçѹÓëÔÑÊý¹ØÏµ¿ÉµÃ£º
¼´
½âµÃ£ºU³ö=6250V
ÓÉ
ÔÙÀíÏë±äѹÆ÷µÄµçÁ÷ÓëÔÑÊý¹ØÏµ¿ÉµÃ£º
½âµÃ£ºI2=16A
£¨2£©ÓÉÌâÒâ¿ÉÖª£ºPËð=P³ö4%=4000W
¶øPËð=I22R
ÓÉÓÚ
ÔòUËð=I2R=250V
U3=6250-250=6000V
£¨3£©ËùÒÔP³ö=100×103×96%=96KW
´ð£º£¨1£©ÔòÉýѹ±äѹÆ÷µÄÊä³öµçѹ6250VºÍÊäµçµ¼ÏßÖеĵçÁ÷16A£®
£¨2£©ÈôÔòÊäµçµ¼ÏßµÄ×ܵç×è
£¨3£©½µÑ¹±äѹÆ÷µÄÊä³ö¹¦ÂÊΪ96KW£®
µãÆÀ£ºÀíÏë±äѹÆ÷µÄÊäÈ빦ÂÊÓëÊä³ö¹¦ÂÊÏàµÈ£¬ÇÒûÓЩ´ÅÏÖÏó£®Ô¶¾àÀëÊäµç£¬ÓÉÓÚµ¼Ïßͨµç·¢Èȵ¼ÖÂÄÜÁ¿Ëðʧ£¬ËùÒÔͨ¹ýÌá¸ßÊäË͵çѹ£¬´Ó¶øÊµÏÖ½µµÍµçËð£®
Á·Ï°²áϵÁдð°¸
Ïà¹ØÌâÄ¿