题目内容
如图所示,斜面上有a、b、c、d 四个点,ab=bc=cd,从a点以初动能Ek0水平抛出一个小球,它落在斜面上的b点。若小球从 a 点以初动能2Ek0水平抛出,不计空气阻力,则下列判断正确的是( )
![]()
A.小球将落在c点
B.小球将落在b与c之间
C.小球将落在在c与d之间
D.小球将落在d点
【答案】
A
【解析】
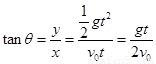
试题分析:从a点抛出后为平抛运动,水平方向
,竖直方向为自由落体运动
,设斜面倾角为
,则有
,
。斜面方向的位移
当初动能由
变为
时,斜面方向的位移变为原来的2倍,即落点从b 点移动到c点。答案A对。
考点:平抛运动
练习册系列答案
相关题目
| A、小球可能落在d点与c点之间 | B、小球一定落在c点 | C、小球落在斜面的速度方向与斜面的夹角一定增大 | D、小球落在斜面的速度方向与斜面的夹角一定减小 |