题目内容
(4分)如图所示,理想变压器的次级有两组线圈,图中三个灯泡的规格相同,四个电表对电路的影响都可忽略不计。开关K断开时,灯L1正常发光,这时两电流表示数之比I1:I2是1:4;开关K闭合时,三个灯都正常发光,这时两电流表示数之比
,两电压表示数之比U1:U2
=_ _
![]()
【答案】
3:4 4:1
【解析】
试题分析:当开关K断开时,灯L1正常发光,由电流与匝数成反比得,原线圈和次级线圈的匝数之比:
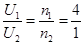
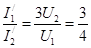
,因为开关K闭合时,三个规格相同的灯泡都正常发光,所以下边次级线圈的电压和上面次级线圈的电压相等,且通过三灯泡的电流相等,又因电压与匝数成之比,则上面和下面次线圈的匝数相等,故两电压表示数之比:
;对理想变压器有输入功率等于输出功率,即
,又
,故有
,所以
.
考点:本题考查理想变压器的工作原理、欧姆定律的应用,意在考查考生能够运用已学的物理知识进行分析判断.
练习册系列答案
相关题目
| 2 |
| A、电流频率为50HZ |
| B、伏特表的读数为24V |
| C、安培表的读数为0.5A |
| D、变压器输入功率为6W |
| A、副线圈的两端M、N的输出电压不变 | B、副线圈输电线等效电阻R上的电压增大 | C、通过灯泡L1的电流增大 | D、原线圈中的电流增大 |
| A、3mA | B、48mA | C、与R的阻值有关 | D、0 |