题目内容
卡车原来以v=10m/s的速度匀速在平直的公路上行驶,因为道口出现红灯,司机从较远的地方即开始刹车,使卡车匀减速前进.当车减速到v1=2m/s时,交通灯变为绿灯,司机当即放开刹车,立即控制油门让卡车做匀加速运动,用了减速过程的2倍的时间卡车加速到原来的速度,从刹车开始到恢复原来的速度共用了6s.求:(1)减速与加速过程中的加速度大小;
(2)开始刹车后5s末的瞬时速度大小;
(3)从卡车开始刹车到刚恢复到原来速度的过程中,通过的位移大小.
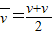
【答案】分析:(1)根据加速与减速的时间关系,分别求出加速运动和减速运动的时间,再根据a=
求出加速度.
(2)判断出5s末处于减速运动还是加速运动阶段,然后根据速度时间公式求出5s末的速度.
(3)运用平均速度的公式分别求出减速运动和加速运动的位移,即可求出总位移.
解答:解:(1)卡车减速时间为t1,加速时间为t2,则有t1+t2=6s,且t2=2t1.
所以t1=2s,t2=4s
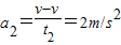
减速运动过程中的加速度
加速运动过程中的加速度
.
故加速和减速运动过程中的加速度大小分别为4m/s2,2m/s2.
(2)减速运动的过程为2s,则5s末处于加速运动过程.
所以5s末的速度v′=v+a2(t′-t1)=2+2×3m/s=8m/s
(3)减速运动所经过的位移
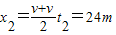
加速运动所经过的位移
.
所以卡车开始刹车到刚恢复到原来速度的过程中,通过的位移大小x=x1+x2=36m.
点评:解决本题的关键掌握加速度的公式
,以及速度时间公式v=v+at和平均速度公式
.
(2)判断出5s末处于减速运动还是加速运动阶段,然后根据速度时间公式求出5s末的速度.
(3)运用平均速度的公式分别求出减速运动和加速运动的位移,即可求出总位移.
解答:解:(1)卡车减速时间为t1,加速时间为t2,则有t1+t2=6s,且t2=2t1.
所以t1=2s,t2=4s
减速运动过程中的加速度
加速运动过程中的加速度
故加速和减速运动过程中的加速度大小分别为4m/s2,2m/s2.
(2)减速运动的过程为2s,则5s末处于加速运动过程.
所以5s末的速度v′=v+a2(t′-t1)=2+2×3m/s=8m/s
(3)减速运动所经过的位移
加速运动所经过的位移
所以卡车开始刹车到刚恢复到原来速度的过程中,通过的位移大小x=x1+x2=36m.
点评:解决本题的关键掌握加速度的公式
练习册系列答案
相关题目