题目内容
如图所示的电路中,
=3.5Ω,
=6Ω,
=3Ω,电压表为理想电表,当开关S断开时,电压表示数为5.7V;当开关S闭合时,电压表示数为3.5V,求电源的电动势和内电阻.
![]()
【答案】
E=6.0V,r=0.5Ω
【解析】
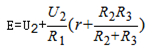
试题分析: 根据闭合电路欧姆定律E=U+Ir,S断开时,
![]()
S闭合时,
![]()
代入数据得E=6.0V,r=0.5Ω。
考点:闭合电路的欧姆定律
练习册系列答案
相关题目
题目内容
如图所示的电路中,
=3.5Ω,
=6Ω,
=3Ω,电压表为理想电表,当开关S断开时,电压表示数为5.7V;当开关S闭合时,电压表示数为3.5V,求电源的电动势和内电阻.
![]()
E=6.0V,r=0.5Ω
【解析】
试题分析: 根据闭合电路欧姆定律E=U+Ir,S断开时,
![]()
S闭合时,
![]()
代入数据得E=6.0V,r=0.5Ω。
考点:闭合电路的欧姆定律