题目内容
国庆60周年阅兵中,歼10飞机受阅后返回某机场,降落在跑道上减速过程简化为两个匀减速直线运动.飞机以速度v=100m/s着陆后立即打开减速阻力伞,加速度大小为a1=5m/s2,运动时间为10s;随后在无阻力伞情况下匀减速直至停下.在平直跑道上减速滑行总路程为s=1500m.求:第二个减速阶段飞机运动的加速度大小和时间.
【答案】分析:根据匀变速直线运动的公式求出第一段匀减速直线运动的位移和末速度,从而得知第二段匀减速直线运动的位移和初速度,因为末速度为零,再根据运动学公式求出第二阶段的加速度和时间.
解答:
解:如图,A为飞机着陆点,AB、BC分别为两个匀减速运动过程,C点停下.A到B过程,依据运动学规律有:

vB=v-a1t1
B到C过程,依据运动学规律有:

0=vB-a2t2
A到C过程,有:
s=x1+x2
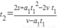
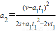
联立解得:
=1.67 m/s2
=30s
答:第二个减速阶段飞机运动的加速度大小为1.67 m/s2,时间为30s.
点评:解决本题的关键是画出运动的示意图,灵活运用运动学公式进行求解.
解答:
vB=v-a1t1
B到C过程,依据运动学规律有:
0=vB-a2t2
A到C过程,有:
s=x1+x2
联立解得:
答:第二个减速阶段飞机运动的加速度大小为1.67 m/s2,时间为30s.
点评:解决本题的关键是画出运动的示意图,灵活运用运动学公式进行求解.
练习册系列答案
相关题目