题目内容

如图所示,竖直圆环A半径为r,固定在木板B上,木板B放在水平地面上,B的左右两侧各有一挡板固定在地面上,使B不能左右移动,在环的最低点静止放置一个小球C。A、B、C的质量均为m,给小球一水平向右的瞬时速度,小球会在环内侧做圆周运动。不计一切摩擦,重力加速度为g,为保证小球能通过环的最高点,且不会使环在竖直方向上跳起,瞬时速度必须满足

A.最小值为

B.最小值为 

C.最大值为

D.最大值为

 

【答案】

BD

【解析】

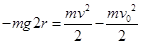
试题分析:小球通过最高点时,重力和轨道向下的弹力的合力提供向心力,即,对AB整体分析,此时受到小球竖直向上的弹力,要是AB不跳起来,就要满足,即,那么就有,从最低点到最高点,根据动能定理有,整理得,对照答案BD对AC错。

考点:圆周运动 动能定理

 

练习册系列答案
相关题目

违法和不良信息举报电话:027-86699610 举报邮箱:58377363@163.com

精英家教网