题目内容

如图所示,在x轴上方存在垂直于纸面向里的匀强磁场,磁感应强度为B。在xOy平面内,从原点O处沿与x轴正方向成θ角(0<θ<π)以速率v发射一个带正电的粒子(重力不计).则下列说法正确的是(   )

A.若v一定,θ越大,则粒子在磁场中运动的时间越短

B.若v一定,θ越大,则粒子在离开磁场的位置距O点越远

C.若θ一定,v越大,则粒子在磁场中运动的角速度越大

D.若θ一定,v越大,则粒子在磁场中运动的时间越短

 

【答案】

A

【解析】

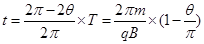
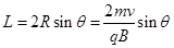
试题分析:根据洛伦兹力提供向心力即,圆周运动半径,根据对称性,在磁场中圆周运动对应的圆心角为,带电粒子在磁场中圆周运动周期,则粒子在磁场中运动时间,若v一定,θ越大,运动时间越短,选项A对,磁场中运动时间与速度无关,选项D错。对应的弦长,若v一定,θ越大,由于对应的弦长在时最大,选项B错。圆周运动的角速度大小与速度无关,选项C错。

考点:带电粒子在匀强磁场中的运动

 

练习册系列答案
相关题目

违法和不良信息举报电话:027-86699610 举报邮箱:58377363@163.com

精英家教网