题目内容
测量实际电流表G1r1供选择的仪器如下:①待测电流表0~5mA,内阻约300Ω),②电流表0~10mA,内阻约100Ω),③定值电阻R1(300Ω),④定值电阻R2(10Ω),⑤滑动变阻器0~1000Ω),⑥滑动变阻器0~20Ω),⑦干电池(1.5V),⑧电键S及导线若干.
(1)定值电阻应选______,滑动变阻器应选______.(在空格内填写序号)
(2)请在答题纸方框中画出实验原理图
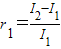
(3)需要测量的物理量______ 内阻r1的表达式______.
【答案】分析:(1)与电流表并联的电阻阻值应与电流表内阻相差不多;
根据电源电压与电流表G2额定电流求出电路电阻,然后选择保护电阻.
为了多次测量求平均值,使电压有较大的变化范围,采用分压接法,本着便于操作的原则选用滑动变阻器
(2)根据实验电路图连接实物电路图.
(3)改变滑动变阻器接入电路的阻值,进行多次实验,测出多组实验数据.由并联电路特点及欧姆定律可以求出电流表内阻.
解答:解:(1)待测电流表G1,内阻约300Ω,量程0~5mA,标准电流表的量程0~10mA,故电流表G1并联的电阻应选定值电阻R1(300Ω);为了多次测量求平均值,使电压有较大的变化范围,采用分压接法,本着便于操作的原则选用滑动
变阻器⑥
(2)实验原理图为:
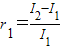
(3)需要测量的物理量为:G1和G2读数I1、I2;内阻r1的表达式为:
R
故答案为:(1)③;⑥(2)G1和G2读数I1、I2;
R
点评:本题考查了实验器材的选取、连接实物电路图、实验数据处理等;要掌握滑动变阻器的分压接法;根据图象应用并联电路特点及欧姆定律可以求出电流表内阻.
根据电源电压与电流表G2额定电流求出电路电阻,然后选择保护电阻.
为了多次测量求平均值,使电压有较大的变化范围,采用分压接法,本着便于操作的原则选用滑动变阻器
(2)根据实验电路图连接实物电路图.
(3)改变滑动变阻器接入电路的阻值,进行多次实验,测出多组实验数据.由并联电路特点及欧姆定律可以求出电流表内阻.
解答:解:(1)待测电流表G1,内阻约300Ω,量程0~5mA,标准电流表的量程0~10mA,故电流表G1并联的电阻应选定值电阻R1(300Ω);为了多次测量求平均值,使电压有较大的变化范围,采用分压接法,本着便于操作的原则选用滑动
(2)实验原理图为:
(3)需要测量的物理量为:G1和G2读数I1、I2;内阻r1的表达式为:
故答案为:(1)③;⑥(2)G1和G2读数I1、I2;
点评:本题考查了实验器材的选取、连接实物电路图、实验数据处理等;要掌握滑动变阻器的分压接法;根据图象应用并联电路特点及欧姆定律可以求出电流表内阻.
练习册系列答案
相关题目