题目内容

物体作匀加速直线运动,已知第 1s末的速度是 6m/s,第 2s末的速度是 8m/s,则下面结论正确的是(   )

A.物体的初速度是 3m/s  B.物体的加速度是 2m/s2
C.任何 1s内的速度变化都是 2m/sD.第 1s内的平均速度是 6m/s

BC

解析试题分析:根据匀加速运动的速度公式代入数据解得;A错误B正确
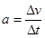
根据加速度的定义,任何1s内的速度变化为;C正确
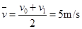
根据平均速度的计算公式;D错误
故选BC
考点:匀变速直线运动的速度与时间的关系
点评:牢记匀变速直线运动速度与时间的关系式,会用此公式求各个相关物理量

练习册系列答案
相关题目

违法和不良信息举报电话:027-86699610 举报邮箱:58377363@163.com

精英家教网