题目内容
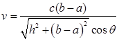
如图所示,在测定玻璃折射率的实验中,一束平行单色光由空气斜射入厚度为h的玻璃砖,入射光束与玻璃砖上表面夹角为θ,入射光束左边缘与玻璃砖左端距离为a ,经折射后出射光束左边缘与玻璃砖的左端距离为b ,可以认为光在空气中的速度等于真空中的光速c ,则光在玻璃砖中的传播速度v为 。![]()
![]()
解析![]()
练习册系列答案
相关题目
题目内容
如图所示,在测定玻璃折射率的实验中,一束平行单色光由空气斜射入厚度为h的玻璃砖,入射光束与玻璃砖上表面夹角为θ,入射光束左边缘与玻璃砖左端距离为a ,经折射后出射光束左边缘与玻璃砖的左端距离为b ,可以认为光在空气中的速度等于真空中的光速c ,则光在玻璃砖中的传播速度v为 。![]()
![]()
解析![]()