题目内容
把一个筛子用四根弹簧支起来,筛子上装一个电动偏心轮,它每转一周,给筛子一个驱动力,这就做成了一个共振筛。不开电动机让这个筛子自由振动时,完成20次全振动用15s;在某电压下,电动偏心轮的转速是2 r/s。已知增大电动偏心轮的电压可以使其转速提高,而增加筛子的总质量可以增大筛子的固有周期。为使共振筛的振幅增大,以下做法正确的是 ![]()
| A.降低输入电压 | B.提高输入电压 |
| C.增加筛子质量 | D.减小筛子质量 |
AD
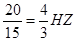
解析试题分析:根据题意,筛子的固有频率为
,
电动机某电压下,电动偏心轮的转速是2r/s,即为
,大于筛子的固有频率,故要使振幅变大,可以减小偏心轮电压,或减小筛子的质量;
故选AD.
考点:产生共振的条件及其应用.
点评:本题根据抓住共振的条件,然后设法使得筛子的固有频率和驱动轮的驱动力频率相等即可.
练习册系列答案
相关题目
把一个筛子用四根弹簧支起来,筛子上装有电动偏心轮,它每转一周给筛子一个驱动力,筛子自由振动时的周期为1.5s,在某电压下电动机偏心轮转速是30r/min.已知,如果增大电压,可使偏心轮转速提高;增加筛子质量,可增大筛子的固有周期;那么要使筛子振动振幅增大,采取下列的措施是( )
| A、提高输入电压 | B、降低输入电压 | C、减小筛子质量 | D、增加筛子质量 |
把一个筛子用四根弹簧支起来,筛子上装一个电动偏心轮,它每转一周,给筛子一个驱动力,这就做成了一个共振筛。不开电动机让这个筛子自由振动时,完成20次全振动用15s;在某电压下,电动偏心轮的转速是2 r/s。已知增大电动偏心轮的电压可以使其转速提高,而增加筛子的总质量可以增大筛子的固有周期。为使共振筛的振幅增大,以下做法正确的是 ![]()
| A.降低输入电压 | B.提高输入电压 |
| C.增加筛子质量 | D.减小筛子质量 |