ÌâÄ¿ÄÚÈÝ

ÈçͼËùʾ£¬ÔÚµÚÒ»ÏóÏÞÓÐÒ»¾ùÇ¿µç³¡£¬³¡Ç¿´óСΪE£¬·½ÏòÓëyÖáÆ½ÐУ»ÔÚxÖáÏ·½ÓÐÒ»¾ùÇ¿´Å³¡£¬´Å³¡·½ÏòÓëÖ½Ãæ´¹Ö±£®Ò»ÖÊÁ¿Îªm¡¢µçºÉÁ¿Îª£­q(q£¾0)µÄÁ£×ÓÒÔÆ½ÐÐÓÚxÖáµÄËÙ¶È´ÓyÖáÉϵÄPµã´¦ÉäÈëµç³¡£¬ÔÚxÖáÉϵÄQµã´¦½øÈë´Å³¡£¬²¢´Ó×ø±êÔ­µãOÀ뿪´Å³¡£®Á£×ÓÔڴų¡ÖеÄÔ˶¯¹ì¼£ÓëyÖá½»ÓÚMµã£®ÒÑÖªOP£½l£¬OQ£½2l£®²»¼ÆÖØÁ¦£®Çó

(1)MµãÓë×ø±êÔ­µãO¼äµÄ¾àÀ룻

(2)Á£×Ó´ÓPµãÔ˶¯µ½MµãËùÓõÄʱ¼ä£®

´ð°¸£º
½âÎö£º

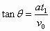
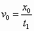
¡¡¡¡½â£º(1)´øµçÁ£×ÓÔڵ糡ÖÐ×öÀàÆ½Å×Ô˶¯£¬ÔÚyÖḺ·½ÏòÉÏ×ö³õËÙ¶ÈΪÁãµÄÔȼÓËÙÔ˶¯£¬Éè¼ÓËٶȵĴóСΪa£»ÔÚxÖáÕý·½ÏòÉÏ×öÔÈËÙÖ±ÏßÔ˶¯£¬ÉèËÙ¶ÈΪv0£¬Á£×Ó´ÓPµãÔ˶¯µ½QµãËùÓõÄʱ¼äΪt1£¬½øÈë´Å³¡Ê±ËÙ¶È·½ÏòÓëxÖáÕý·½ÏòµÄ¼Ð½ÇΪ£¬Ôò

¡¡¡¡¡¡¢Ù

¡¡¡¡¡¡¢Ú

¡¡¡¡¡¡¢Û

¡¡¡¡ÆäÖУ®ÓÖÓÐ

¡¡¡¡¡¡¢Ü

¡¡¡¡ÁªÁ¢¢Ú¢Û¢Üʽ£¬µÃ

¡¡¡¡

¡¡¡¡ÒòΪµãÔÚÔ²ÖÜÉÏ£¬£¬ËùÒÔMQΪֱ¾¶£®´ÓͼÖеļ¸ºÎ¹ØÏµ¿ÉÖª£®

¡¡¡¡¡¡¢Þ

¡¡¡¡¡¡¢ß

¡¡¡¡(2)ÉèÁ£×ÓÔڴų¡ÖÐÔ˶¯µÄËÙ¶ÈΪ£¬´ÓQµ½MµãÔ˶¯µÄʱ¼äΪt2£¬ÔòÓÐ

¡¡¡¡¡¡¢à

¡¡¡¡¡¡¢á

¡¡¡¡´øµçÁ£×Ó×ÔPµã³ö·¢µ½MµãËùÓõÄʱ¼äΪΪ

¡¡¡¡¡¡¢â

¡¡¡¡ÁªÁ¢¢Ù¢Ú¢Û¢Ý¢Þ¢à¢á¢âʽ£¬²¢´úÈëÊý¾ÝµÃ

¡¡¡¡¡¡


Á·Ï°²áϵÁдð°¸
Ïà¹ØÌâÄ¿

Î¥·¨ºÍ²»Á¼ÐÅÏ¢¾Ù±¨µç»°£º027-86699610 ¾Ù±¨ÓÊÏ䣺58377363@163.com

¾«Ó¢¼Ò½ÌÍø