题目内容
在“用打点计时器研究小车的匀变速直线运动”的实验中,某学生将打点计时器接到频率为50Hz的交流电源上,实验时得到一条纸带,他从纸带上便于测量的地方开始,共标了A、B、C、D、E、F、G七个连续的计数点(相邻两个计数点间还有4个点没标出),测量时发现B点已模糊不清,于是他测得各点到A点的距离如图所示,则打下C点时小车的瞬时速度大小为______m/s,小车运动的加速度大小为______m/s2.(结果均保留2位有效数字)
【答案】分析:根据匀变速直线运动的推论公式△x=aT2可以求出加速度的大小,根据匀变速直线运动中时间中点的速度等于该过程中的平均速度,可以求出打纸带上A点时小车的瞬时速度大小.
解答:解:根据匀变速直线运动中时间中点的速度等于该过程中的平均速度,有:

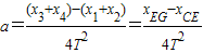
根据逐差法可知小车运动的加速度大小为:

将数据带入解得:a=0.50m/s2.
故答案为:0.20,0.50.
点评:能够知道相邻的计数点之间的时间间隔;要注意单位的换算和有效数字的保留;了解逐差法求解加速度有利于减小误差,同时熟练应用匀变速直线运动的规律和推论解决问题.
解答:解:根据匀变速直线运动中时间中点的速度等于该过程中的平均速度,有:
根据逐差法可知小车运动的加速度大小为:
将数据带入解得:a=0.50m/s2.
故答案为:0.20,0.50.
点评:能够知道相邻的计数点之间的时间间隔;要注意单位的换算和有效数字的保留;了解逐差法求解加速度有利于减小误差,同时熟练应用匀变速直线运动的规律和推论解决问题.
练习册系列答案
相关题目