题目内容
航模兴趣小组设计出一架遥控飞行器,其质量m=2㎏,动力系统提供的恒定升力F=28N.试飞时,飞行器从地面由静止开始竖直上升.设飞行器飞行时所受的阻力大小不变,g取10m/s2.(1)第一次试飞,飞行器飞行t1=8s 时到达高度H=64m.求飞行器所阻力f的大小;
(2)第二次试飞,飞行器飞行t2=6s 时遥控器出现故障,飞行器立即失去升力.求飞行器能达到的最大宽度h;
(3)为了使飞行器不致坠落到地面,求飞行器从开始下落到恢复升力的最长时间t3.
【答案】分析:(1)第一次试飞时,飞行器从地面由静止开始竖直上升做匀加速直线运动,根据位移时间公式可求出加速度,再根据牛顿第二定律就可以求出阻力f的大小;
(2)失去升力飞行器受重力和阻力作用做匀减速直线运动,当速度减为0时,高度最高,等于失去升力前的位移加上失去升力后的位移之和;
(3)求飞行器从开始下落时做匀加速直线运动,恢复升力后做匀减速直线运动,为了使飞行器不致坠落到地面,到达地面时速度恰好为0,根据牛顿第二定律以及运动学基本公式即可求得飞行器从开始下落到恢复升力的最长时间t3.
解答:解:(1)第一次飞行中,设加速度为a1
匀加速运动
由牛顿第二定律F-mg-f=ma1
解得f=4N
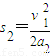
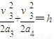
(2)第二次飞行中,设失去升力时的速度为v1,上升的高度为s1
匀加速运动
设失去升力后的速度为a2,上升的高度为s2
由牛顿第二定律mg+f=ma2v1=a1t2
解得h=s1+s2=42m
(3)设失去升力下降阶段加速度为a3;恢复升力后加速度为a4,恢复升力时速度为v3
由牛顿第二定律 mg-f=ma3
F+f-mg=ma4
且
V3=a3t3
解得t3=
s(或2.1s)
答:(1)飞行器所阻力f的大小为4N;
(2)第二次试飞,飞行器飞行t2=6s 时遥控器出现故障,飞行器立即失去升力,飞行器能达到的最大高度h为42m;
(3)为了使飞行器不致坠落到地面,飞行器从开始下落到恢复升力的最长时间为
s.
点评:本题的关键是对飞行器的受力分析以及运动情况的分析,结合牛顿第二定律和运动学基本公式求解,本题难度适中.
(2)失去升力飞行器受重力和阻力作用做匀减速直线运动,当速度减为0时,高度最高,等于失去升力前的位移加上失去升力后的位移之和;
(3)求飞行器从开始下落时做匀加速直线运动,恢复升力后做匀减速直线运动,为了使飞行器不致坠落到地面,到达地面时速度恰好为0,根据牛顿第二定律以及运动学基本公式即可求得飞行器从开始下落到恢复升力的最长时间t3.
解答:解:(1)第一次飞行中,设加速度为a1
匀加速运动
由牛顿第二定律F-mg-f=ma1
解得f=4N
(2)第二次飞行中,设失去升力时的速度为v1,上升的高度为s1
匀加速运动
设失去升力后的速度为a2,上升的高度为s2
由牛顿第二定律mg+f=ma2v1=a1t2
解得h=s1+s2=42m
(3)设失去升力下降阶段加速度为a3;恢复升力后加速度为a4,恢复升力时速度为v3
由牛顿第二定律 mg-f=ma3
F+f-mg=ma4
且
V3=a3t3
解得t3=
答:(1)飞行器所阻力f的大小为4N;
(2)第二次试飞,飞行器飞行t2=6s 时遥控器出现故障,飞行器立即失去升力,飞行器能达到的最大高度h为42m;
(3)为了使飞行器不致坠落到地面,飞行器从开始下落到恢复升力的最长时间为
点评:本题的关键是对飞行器的受力分析以及运动情况的分析,结合牛顿第二定律和运动学基本公式求解,本题难度适中.
练习册系列答案
相关题目