ÌâÄ¿ÄÚÈÝ

ÓÐÒ»Çã½ÇΪµÄÐ±Ãæ£¬Æäµ×¶Ë¹Ì¶¨Ò»µ²°åM£¬ÁíÓÐÈý¸öľ¿éA¡¢BºÍC£¬ËüÃǵÄÖÊÁ¿·Ö±ðΪmA£½mB£½m£¬mC£½3 m£¬ËüÃÇÓëÐ±Ãæ¼äµÄ¶¯Ä¦²ÁÒòÊý¶¼Ïàͬ£®ÆäÖÐľ¿éAÁ¬½ÓÒ»Çᵯ»É·ÅÓÚÐ±ÃæÉÏ£¬²¢Í¨¹ýÇᵯ»ÉÓëµ²°åMÏàÁ¬£¬ÈçͼËùʾ£®¿ªÊ¼Ê±£¬Ä¾¿éA¾²Ö¹ÔÚP´¦£¬µ¯»É´¦ÓÚ×ÔÈ»É쳤״̬£®Ä¾¿éBÔÚQµãÒÔ³õËÙ¶Èv0ÏòÏÂÔ˶¯£¬P¡¢Q¼äµÄ¾àÀëΪL£®ÒÑ֪ľ¿éBÔÚÏ»¬¹ý³ÌÖÐ×öÔÈËÙÖ±ÏßÔ˶¯£¬Óëľ¿éAÏàÅöºóÁ¢¿ÌÒ»ÆðÏòÏÂÔ˶¯£¬µ«²»Õ³Á¬£¬ËüÃǵ½´ïÒ»¸ö×îµÍµãºóÓÖÏòÉÏÔ˶¯£¬Ä¾¿éBÏòÉÏÔ˶¯Ç¡ºÃÄܻص½Qµã£®Èôľ¿éA¾²Ö¹ÓÚPµã£¬Ä¾¿éC´ÓQµã¿ªÊ¼ÒÔ³õËÙ¶ÈÏòÏÂÔ˶¯£¬¾­ÀúͬÑù¹ý³Ì£¬×îºóľ¿éCÍ£ÔÚÐ±ÃæÉϵÄRµã£¬ÇóP¡¢R¼äµÄ¾àÀëµÄ´óС£®

´ð°¸£º
½âÎö£º

¡¡¡¡Ä¾¿éBÏ»¬×öÔÈËÙÖ±ÏßÔ˶¯£¬ÓÐmgsin£½¦Ìmgcos

¡¡¡¡BºÍAÏàײǰºó£¬×ܶ¯Á¿Êغ㣬mv£½2mv£¬ËùÒÔ

¡¡¡¡v£½

¡¡¡¡ÉèÁ½Ä¾¿éÏòÏÂѹËõµ¯»ÉµÄ×î´ó³¤¶ÈΪs£¬Á½Ä¾¿é±»µ¯»Éµ¯»Øµ½PµãʱµÄËÙ¶ÈΪv£¬Ôò

¡¡¡¡¦Ì2mgcos¡¤2 s£½

¡¡¡¡Á½Ä¾¿éÔÚPµã´¦·Ö¿ªºó£¬Ä¾¿éBÉÏ»¬µ½QµãµÄ¹ý³Ì£º

¡¡¡¡(mgsin£«¦Ìmgcos)L£½

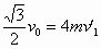
¡¡¡¡Ä¾¿éCÓëAÅöײǰºó£¬×ܶ¯Á¿Êغ㣬Ôò3m¡¤£¬ËùÒÔ

¡¡¡¡£½v

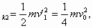
¡¡¡¡Éèľ¿éCºÍAѹËõµ¯»ÉµÄ×î´ó³¤¶ÈΪ£¬Á½Ä¾¿é±»µ¯»Éµ¯»Øµ½PµãʱµÄËÙ¶ÈΪv£¬Ôò¦Ì4mgcos¡¤2£½

¡¡¡¡Ä¾¿éCÓëAÔÚPµã´¦·Ö¿ªºó£¬Ä¾¿éCÉÏ»¬µ½RµãµÄ¹ý³Ì£º

¡¡¡¡(3mgsin£«¦Ì3mgcos)£½

¡¡¡¡ÔÚľ¿éѹËõµ¯»ÉµÄ¹ý³ÌÖУ¬ÖØÁ¦¶Ôľ¿éËù×öµÄ¹¦ÓëĦ²ÁÁ¦¶Ôľ¿éËù×öµÄ¹¦´óСÏàµÈ£¬Òò´Ëµ¯»É±»Ñ¹Ëõ¶ø¾ßÓеÄ×î´óµ¯ÐÔÊÆÄܵÈÓÚ¿ªÊ¼Ñ¹Ëõµ¯»ÉʱÁ½Ä¾¿éµÄ×ܶ¯ÄÜ£®

¡¡¡¡Òò´Ë£¬Ä¾¿éBºÍAѹËõµ¯»ÉµÄ³õ¶¯ÄÜEľ¿éCÓëAѹËõµ¯»ÉµÄ³õ¶¯ÄÜE¼´E

¡¡¡¡Òò´Ë£¬µ¯»ÉǰºóÁ½´ÎµÄ×î´óѹËõÁ¿ÏàµÈ£¬¼´s£½

¡¡¡¡×ÛÉÏ£¬µÃ£½L£­


Á·Ï°²áϵÁдð°¸
Ïà¹ØÌâÄ¿

Î¥·¨ºÍ²»Á¼ÐÅÏ¢¾Ù±¨µç»°£º027-86699610 ¾Ù±¨ÓÊÏ䣺58377363@163.com

¾«Ó¢¼Ò½ÌÍø