题目内容
如图所示是某同学在做匀变速直线运动实验中获得的一条纸带.①已知打点计时器电源频率为50Hz,则纸带上打相邻两点的时间间隔为______.
②ABCD是纸带上四个计数点,每两个相邻计数点间有四个点没有画出.从图中读出A、B两点间距s=______;C点对应的速度是______(计算结果保留三位有效数字).
【答案】分析:打点计时器打点周期与交变电流的周期相同.由t=0.02s(n-1),算出计数点间的时间隔T,BD间平均速度近似等于C点的速度.
解答:解:①带上打相邻两点的时间间隔T=
②A、B间的距离S=0.70cm.
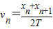
③B、D间的时间间隔T=0.1s
则vc=
=
=0.100m/s
故答案是:0.02s,0.70cm,0.100m/s
点评:打点计时器问题常常根据匀变速运动的推论:由
求解速度,由△x=aT2加速度.
解答:解:①带上打相邻两点的时间间隔T=
②A、B间的距离S=0.70cm.
③B、D间的时间间隔T=0.1s
则vc=
故答案是:0.02s,0.70cm,0.100m/s
点评:打点计时器问题常常根据匀变速运动的推论:由
练习册系列答案
相关题目