题目内容
质量相等的A,B两物体放在同一水平面上,分别受到水平拉力
,
的作用而从静止开始做匀加速运动.经过时间
和4
速度分别达到2
和
时,分别撤去
和
,以后物体继续做匀减速运动直到停止.两物体速度随时间变化的图线如图所示,若在该过程中
和
所做的功分别为
和
.则
[ ]
A.
>
B.
<
C.
=
D.无法比较
和
的大小
答案:A
解析:
解析:
|
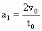
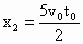
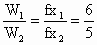
解法一:由于物体在匀加速、匀减速过程中摩擦力为定值,所以可以全过程运用运动定理.
速度图像与横轴所围的面积等于位移大小
牛顿第二定律 所以 解法二:根据功的定义式求功.
又 则 同理, 则 |
练习册系列答案
相关题目