题目内容
小球做直线运动时的频闪照片如图10所示.已知频闪周期T=0.1s,小球相邻位置间距(由照片中的刻度尺量得)分别是OA=5.19cm AB=4.40cm BC=3.59cm CD=2.80cm DE=2.01cm EF=1.21cm.则小球在位置B时的速度大小vB= m/s;小球运动的加速度大小a= m/s2.(结果均保留两位有效数字)
【答案】分析:频闪照片每隔一定时间拍一个小球的位置,小球A位置时速度近似等于OB间的平均速度.用推论△x=aT2求解加速度.
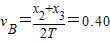
解答:解:设OA=x1,AB=x2,BC=x3,CD=x4,DE=x5,EF=x6.
则根据匀变速直线运动中时间中点的瞬时速度等于该过程中的平均速度有小球在B置的速度:
m/s
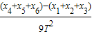
根据△x=aT2有:
x4-x1=3a1T2,
x5-x2=3a2T2,
x6-x3=3a3T2,
得到a=
=
=0.80m/s2,则小球运动的加速度大小0.80m/s2
故答案是:0.40,0.80.
点评:频闪照片与打点计时器类型相似,常常根据匀变速运动的推论进行求解.
解答:解:设OA=x1,AB=x2,BC=x3,CD=x4,DE=x5,EF=x6.
则根据匀变速直线运动中时间中点的瞬时速度等于该过程中的平均速度有小球在B置的速度:
根据△x=aT2有:
x4-x1=3a1T2,
x5-x2=3a2T2,
x6-x3=3a3T2,
得到a=
故答案是:0.40,0.80.
点评:频闪照片与打点计时器类型相似,常常根据匀变速运动的推论进行求解.
练习册系列答案
相关题目