题目内容

根据量子理论,光子具有动量,光子的动量等于光子的能量除以光速,即p=E/C,光照射到物体表面并被反射时,会对物体产生压强,这就是“光压”.光压是光的粒子性的典型表现.光压的产生机理如同气体压强:由大量的气体分子与器壁的频繁碰撞产生了持续均匀的压力,器壁在单位面积上受到的压力就是气体的压强.

①激光器发出的一束激光的功率为P,光束的横截面积为S.当该激光垂直照射在物体表面时,试计算单位时间内到达物体表面的光子的总动量.

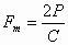
②若该激光束被物体表面完全反射,证明其在物体表面引起的光压是2P/CS

③设想利用太阳的光压将物体送到太阳系以外的空间去,当然只有当太阳对物体的光压超过了太阳对物体的引力才行.现如果用一种密度为1.0×103kg/m3的物体做成的平板,它的刚性足够大,则当这种平板厚度较小时,它将能被太阳的光压送出太阳系.试估算这种平板车的厚度应小于多少?设平板处于地球绕太阳运动的公转轨道上,且平板表面所受的光压处于最大值,不考虑太阳系内其它各行星对平板的影响,已知地球公转轨道上的太阳能量为1.4×103J/m2·s(即在单位时间内垂直辐射在单位面积上的太阳光能量),地球绕太阳公转的加速度为5.9×10-3m/s2

答案:
解析:

①设单位时间内激光器发出的光子数为n,每个光子的能量为E,动量为p,则激光器的功率为P=nE.所以,单位时间内到达物体表面的光子总动量为

②激光束被物体表面完全反射,其单位时间内的动量改变量为

根据动量定理,激光束对物体表面的作用力为

因此,激光束在物体表面产生的光压为

③设平板的质量为m,密度为ρ,厚度为d,面积为S1;太阳常量为J;地球绕太阳公转的加速度为a,利用太阳的光压将平板送到太阳系以外的空间去,必须满足条件:太阳光对平板的压力大于太阳对其的引力,结合(2)的结论,有>ma

而平板的质量m=ρdS1,所以d<2J/ cρa=1.6×10-6m.

因此,平板的厚度应小于1.6×10-6m.


练习册系列答案
相关题目
(2003?肇庆模拟)根据量子理论,光子具有动量.光子的动量等于光子的能量除以光速,即P=E/c.光照射到物体表面并被反射时,会对物体产生压强,这就是“光压”.光压是光的粒子性的典型表现.光压的产生机理如同气体压强:由大量气体分子与器壁的频繁碰撞产生了持续均匀的压力,器壁在单位面积上受到的压力就是气体的压强.
(1)激光器发出的一束激光的功率为P,光束的横截面积为S.当该激光束垂直照射在物体表面时,试计算单位时间内到达物体表面的光子的总动量.
(2)若该激光束被物体表面完全反射,试求出其在物体表面引起的光压表达式.
(3)设想利用太阳的光压将物体送到太阳系以外的空间去,当然这只须当太阳对物体的光压超过了太阳对物体的引力才行.现如果用一种密度为1.0×103kg/m3的物体做成的平板,它的刚性足够大,则当这种平板厚度较小时,它将能被太阳的光压送出太阳系.试估算这种平板的厚度应小于多少(计算结果保留二位有效数字)?设平板处于地球绕太阳运动的公转轨道上,且平板表面所受的光压处于最大值,不考虑太阳系内各行星对平板的影响.已知地球公转轨道上的太阳常量为1.4×103J/m2?s(即在单位时间内垂直辐射在单位面积上的太阳光能量),地球绕太阳公转的加速度为5.9×10-3m/s2

违法和不良信息举报电话:027-86699610 举报邮箱:58377363@163.com

精英家教网