题目内容

如图所示,固定斜面上有一个质量为M的盒子A,盒中有一个刚好跟盒子内壁相切的质量为m的光滑球B,盒子与斜面间的动摩擦因数为μ,且μ<tanθ,用与斜面平行向下的推力F推A,问球与盒子的哪一壁相挤压,这压力等于多少?

答案:
解析:

  (1)当时,球对盒前后壁均无压力.

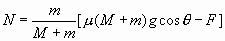
  (2)当时,球对盒后壁的压力为

  (3)当时,球对盒前壁的压力为


练习册系列答案
相关题目

违法和不良信息举报电话:027-86699610 举报邮箱:58377363@163.com

精英家教网