题目内容
一物体在水平面上由位置A从静止开始做加速度大小为a1的匀加速直线运动,经时间t到达位置B,此时速度大小为v1,到达位置B后立即做大小为a2,方向与a1相反的匀变速运动,再经时间2t又回到位置A,此时速度大小为v2,求v1与v2的比值以及a1与a2的比值.
【答案】分析:规定AB方向为正方向,抓住物体位移之和为零,结合平均速度的公式求出v1与v2的比值.根据加速度的定义式得出a1与a2的比值.
解答:解:以AB方向为正方向,由平均速度与位移关系得:
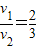
得:3v1=2v2
即:
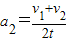
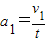
由加速度的定义,有:
,
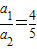
所以:
.
答:v1与v2的比值为2:3,a1与a2的比值为4:5.
点评:解决本题的关键掌握匀变速直线运动的运动学公式,并能灵活运用.
解答:解:以AB方向为正方向,由平均速度与位移关系得:
得:3v1=2v2
即:
由加速度的定义,有:
所以:
答:v1与v2的比值为2:3,a1与a2的比值为4:5.
点评:解决本题的关键掌握匀变速直线运动的运动学公式,并能灵活运用.
练习册系列答案
相关题目