题目内容

在验证牛顿第二定律的实验中,研究力和加速度的关系时要保证    不变;如图所示,则从纸带上可以求出小车的加速度a=    m/s2,记录计数点2的速度v=    m/s.单位:cm.
【答案】分析:(1)验证牛顿第二定律的实验中,我们采用的方法是控制变量法,即:让一个量不变来探究另外两个量的关系.
(2)实验时,我们需要测量:力,质量,加速度.其中加速度的测量是用逐差法取出来的.
解答:解:验证牛顿第二定律的实验中,我们采用的方法是控制变量法,所以研究力和加速度的关系时要保证质量不变.
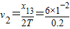
计数点2的速度我们可以用1到3这一段的平均速度替代(中间时刻的瞬时速度等于平均速度)
即:=0.30m/s
由匀变速直线运动的推论:△x=at2得:

设0到1这段的位移是x1,1到2这段位移为x2
则:△x=4.00-1.50-1.50=1cm=0.01m
t=0.1s,代入①得:=1.00m/s2
题目中给出的数据都保留了3位有效数字,为了和题目统一,我们也保留3位有效数字.
故答案为:质量;1.00;0.30
点评:验证牛顿第二定律的实验我们采用的是控制变量法,一定要明确怎样控制变量.对于纸带的处理一般有两个问题:求速度(替代)加速度(逐差法)要掌握,计算时注意单位换算和有效数字的保留.
练习册系列答案
相关题目
(1)放在光滑水平面上的两个小车前端各系一根细线,线的另一端跨过定滑轮各挂一个小盘,盘中可放砝码.小盘和砝码所受重力,近似等于使小车做匀加速运动的合力,增减小盘中砝码,可以改变小车受到的合外力.后端各系一根细线,用一个黑板擦把两根细线同时按在桌上,使小车静止.抬起黑板擦两小车同时开始运动,按下黑板擦两车同时停下,用刻度尺量出两小车通过的位移.用此办法验证牛顿第二定律的实验中,下列说法正确的是
AC
AC

A、若两车质量相同,并测得两车的位移与所挂砝码和小盘的质量之和成正比,则说明加速度与外力成正比
B、若两车质量相同,必须算出加速度的具体值与所挂砝码和小盘的质量之和的关系,才能验证加速度与外力成正比
C、若两车所挂小盘和砝码质量相同,测得两车的位移与小车的质量,则可探究加速度与质量的关系
D、若两车所挂小盘和砝码质量相同,测得两车的位移与小车的质量,则可探究加速度与力的关系
(2)在“验证牛顿第二定律”的实验中,为验证小车质量M不变时,a与F成正比,小车质量M和砂及砂桶质量m分别选取下列四组值:
A、M=500g,m分别为50g、70g、100g、125g;
B、M=500g,m分别为20g、30g、40g、50g;
C、M=200g,m分别为50g、70g、100g、125g;
D、M=200g,m分别为30g、40g、50g、60g.
若其它操作都正确,那么在选用
B
B
组测量值所画出的a-F图线较准确.

违法和不良信息举报电话:027-86699610 举报邮箱:58377363@163.com

精英家教网