题目内容
质量为m1=50g的钢球沿光滑的水平面运动,它以10m/s的速度碰到一个质量为m2=1kg的铜块,碰后钢球以8m/s的速度被弹回,求铜块碰后获得的速度.
【答案】分析:两个球发生碰撞的过程中,系统受到外力的合力为零,故两个球构成的系统动量守恒,根据动量守恒定律求解即可.
解答:解:两个球发生碰撞的过程中,系统动量守恒,根据动量守恒定律得:
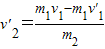
m1v1=m1v'1+m2v'2
=
=0.9m/s
答:铜块碰后获得的速度为0.9m/s.
点评:本题关键抓住系统动量守恒,根据动量守恒定律求解,难度不大,属于基础题.
解答:解:两个球发生碰撞的过程中,系统动量守恒,根据动量守恒定律得:
m1v1=m1v'1+m2v'2
答:铜块碰后获得的速度为0.9m/s.
点评:本题关键抓住系统动量守恒,根据动量守恒定律求解,难度不大,属于基础题.
练习册系列答案
相关题目