题目内容

“9.11”恐怖事件发生后,美国为了找到本·拉登的藏身地点,使用了先进的侦察卫星.据报道:美国将多颗最先进的KH-11、KH-12“锁眼”系列照相侦察卫星调集到中亚地区上空,“锁眼”系列照相侦察卫星绕地球沿椭圆轨道运动,近地点265km(指卫星与地面的最近距离),远地点650km(指卫星与地面的最远距离),重量13.6t~18.2t.这些照相侦察卫星上装有先进的CCD数字照相机,能够分辨出地面上0.1m大小的目标,并自动地将照片传给地面接收站及指挥中心.

由开普勒定律知道:如果卫星绕地球做圆周运动的圆轨道半径跟椭圆轨道的半长轴相等,那么,卫星沿圆轨道运动的周期跟卫星沿椭圆轨道运动的周期相同.

请你由上述数据估算这些“锁眼”系列侦察卫星绕地球运动的周期.(要求两位有效数字.地球的半径为R=6400km,取)

答案:5600s
解析:

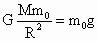
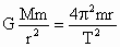
卫星绕地球做匀速圆周运动,半径

物体在地球表面的重力等于万有引力,则

得到


练习册系列答案
相关题目

违法和不良信息举报电话:027-86699610 举报邮箱:58377363@163.com

精英家教网