ÌâÄ¿ÄÚÈÝ

Ñ¡ÐÞ3-5
£¨1£©2011Äê3ÔÂ11ÈÕ£®ÈÕ±¾·¢ÉúÀïÊϾż¶´óµØÕð£®Ôì³É¸£µººËµçÕ¾µÄºËй©Ê¹ʣ®ÔÚй¶µÄÎÛȾÎïÖк¬ÓÐ131IºÍ137CsÁ½ÖÖ·ÅÉäÐÔÔªËØ£®ËüÃÇͨ¹ýһϵÁУºË¥±ä²úÉú¶ÔÈËÌåÓÐΣº¦µÄ·øÉ䣮ÆäÖÐ131IµÄË¥±ä·½³ÌΪ53131I¡ú54131Xe+-1e£¬Æä°ëË¥ÆÚΪ8Ì죮
ÏÂÁÐ˵·¨ÕýÈ·µÄÊÇ______£º
A£®¸ÃºË·´Ó¦ÊǦÁË¥±ä
B£®53131IÔ­×ÓºËÖк¬ÓÐ78¸öÖÐ×Ó
C£®¾­¹ý16Ì죬75%µÄ53131IÔ­×Ӻ˷¢ÉúÁËË¥±ä
D£®ËäÈ»¸Ã·´Ó¦³öÏÖÖÊÁ¿¿÷Ë𣬵«ºË·´Ó¦Ç°ºóµÄÔ­×ÓºË×ÜÖÊÁ¿Êý²»±ä
£¨2£©Ò»¿Å×Óµ¯Ë®Æ½µØ´©¹ýÁ½¸öǰºó²¢ÅÅÔÚ¹â»¬Ë®Æ½ÃæÉϵľ²Ö¹Ä¾¿é£®±¾¿éµÄÖÊÁ¿·Ö±ðΪm1ºÍm2£®Éè×Óµ¯´©¹ýÁ½Ä¾¿éµÄʱ¼ä¼ä¸ô·Ö±ðΪt1ºÍt2£®×Óµ¯ÔÚľ¿éÖÐÊܵ½µÄ×èÁ¦ÎªºãÁ¦f£¬Çó×Óµ¯´©¹ýÁ½Ä¾¿éºó£¬Á½Ä¾¿é¸÷ÒÔ¶à´óµÄËÙ¶ÈÔ˶¯£¿
¡¾´ð°¸¡¿·ÖÎö£º£¨1£©¸ÃºË·´Ó¦ÊǦÂË¥±ä£®53131IÔ­×ÓºËÖк¬ÓÐ78¸öÖÐ×Ó£®131IµÄ°ëË¥ÆÚΪ8Ì죬¾­¹ý16Ììºó£¬75%µÄ53131IÔ­×Ӻ˷¢ÉúÁËË¥±ä£®¸Ã·´Ó¦³öÏÖÖÊÁ¿¿÷Ë𣬺˷´Ó¦Ç°ºóµÄÔ­×ÓºË×ÜÖÊÁ¿Êý²»±ä£®
£¨2£©¸ù¾Ý¶¯Á¿¶¨Àí·Ö±ð¶ÔÁ½¸öÎïÌåÕûÌåºÍľ¿ém2½øÐÐÁÐʽ£¬Çó³ö×Óµ¯´©¹ýÁ½Ä¾¿éºó£¬Á½Ä¾¿éµÄËÙ¶È£®
½â´ð£º½â£º
£¨1£©A¡¢-1eÊǦÂÁ£×Ó£¬¸ÃºË·´Ó¦ÊǦÂË¥±ä£®¹ÊA´íÎó£®
B¡¢IÔ­×ÓºËÖк¬ÓÐ131-53=78¸öÖÐ×Ó£®¹ÊBÕýÈ·£®
C¡¢131IµÄ°ëË¥ÆÚΪ8Ì죬¾­¹ý16Ììºó£¬»¹Ê£Ó࣬ËùÒÔ75%µÄIÔ­×Ӻ˷¢ÉúÁËË¥±ä£®¹ÊCÕýÈ·£®
D¡¢¸Ã·´Ó¦ÊͷųöºËÄÜ£¬³öÏÖÖÊÁ¿¿÷Ë𣬵«ºË·´Ó¦Ç°ºóµÄÔ­×ÓºË×ÜÖÊÁ¿Êý²»±ä£®¹ÊDÕýÈ·£®
¹ÊÑ¡BCD£®
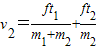
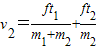
£¨2£©Éè×Óµ¯´©¹ýľ¿ém1ʱ£¬m1¡¢m2µÄËÙ¶ÈΪv1£¬Óɶ¯Á¿¶¨Àí
     ft1=£¨m1+m2£©v1                      
ËùÒÔ                   
Éè×Óµ¯´©Í¸Ä¾¿ém2ʱ£¬m2µÄËÙ¶ÈΪv2£¬Óɶ¯Á¿¶¨Àí
     ft2=m2£¨v2-v1£©                     
ËùÒÔ                   
´ð£º×Óµ¯´©¹ýÁ½Ä¾¿éºó£¬m1ÒÔµÄËÙ¶ÈÔ˶¯£¬m2ÒÔËÙ¶ÈÔ˶¯£®
µãÆÀ£ºµÚ£¨1£©ÌâÊÇÔ­×ÓÎïÀí²¿·Ö£¬¿¼²éÁËË¥±ä¡¢°ëË¥ÆÚ¡¢ºË×Ó¼ÆËã¼°ÖÊÁ¿¿÷ËðÎÊÌ⣮ºË·´Ó¦ÖÐÊÍ·ÅÄÜÁ¿Ê±³öÏÖÖÊÁ¿¿÷Ë𣬵«ÖÊÁ¿ÊýÈÔÊØºã£¬ÕâÊǺ˷´Ó¦µÄ»ù±¾¹æÂÉ£»µÚ£¨2£©ÌâÊdz£¹æµÄ¶¯Á¿ÊÔÌ⣬¹Ø¼üÊÇÕýÈ·Ñ¡ÔñÑо¿¶ÔÏóºÍ¶Ô¹ý³ÌµÄ·ÖÎö£®
Á·Ï°²áϵÁдð°¸
Ïà¹ØÌâÄ¿
Ñ¡¿¼Ìâ

1.£ÛÎïÀí¡ª¡ªÑ¡ÐÞ2-2£Ý (1)³£¼ûµÄ´«¶¯·½Ê½ÓÐ__________¡¢__________¡¢__________ºÍ³ÝÂÖ´«¶¯µÈ¡£³ÝÂÖ´«¶¯µÄ´«¶¯±ÈÊÇÖ÷¶¯ÂÖÓë__________µÄתËÙÖ®±È£¬´«¶¯±ÈµÈÓÚ__________Óë__________µÄ³ÝÊýÖ®±È¡£

(2)Һѹǧ½ï¶¥ÊÇÀûÓÃÃܱÕÈÝÆ÷ÄÚµÄÒºÌåÄܹ»°ÑÒºÌåËùÊܵ½µÄѹǿÏò¸÷¸ö·½Ïò´«µÝµÄÔ­ÀíÖÆ³ÉµÄ¡£Í¼ÎªÒ»Ð¡ÐÍǧ½ï¶¥µÄ½á¹¹Ê¾Òâͼ¡£´ó»îÈûAµÄÖ±¾¶D1=20 cm£¬Ð¡»îÈûBµÄÖ±¾¶D2=5 cm£¬ÊÖ±úµÄ³¤¶ÈOC=50 cm£¬Ð¡»îÈûÓëÊÖ±úµÄÁ¬½Óµãµ½×ªÖáOµÄ¾àÀëDO=10 cm¡£ÏÖÓôËǧ½ï¶¥Ê¹ÖÊÁ¿m=4¡Á103 kgµÄÖØÎïÉý¸ßÁËh=10 cm¡£gÈ¡10 m/s2£¬Çó

(i)Èô´Ëǧ½ï¶¥µÄЧÂÊΪ80%£¬ÔÚÕâÒ»¹ý³ÌÖÐÈË×öµÄ¹¦Îª¶àÉÙ£¿

(ii)Èô´Ëǧ½ï¶¥µÄЧÂÊΪ100%£¬µ±ÖØÎïÉÏÉýʱ£¬È˶ÔÊÖ±úµÄ×÷ÓÃÁ¦FÖÁÉÙÒª¶à´ó£¿

2.£ÛÎïÀí¡ª¡ªÑ¡ÐÞ3-3£Ý

(1)´øÓлîÈûµÄÆø¸×ÄÚ·â±ÕÒ»¶¨Á¿µÄÀíÏëÆøÌå¡£ÆøÌ忪ʼ´¦ÓÚ״̬a£¬È»ºó¾­¹ý¹ý³Ìabµ½´ï״̬b»ò¾­¹ý¹ý³Ìacµ½´ï״̬c£¬b¡¢c״̬ζÈÏàͬ£¬ÈçV-TͼËùʾ¡£ÉèÆøÌåÔÚ״̬bºÍ״̬cµÄѹǿ·Ö±ðΪpbºÍpc£¬ÔÚ¹ý³ÌabºÍacÖÐÎüÊÕµÄÈÈÁ¿·Ö±ðΪQabºÍQac£¬Ôò___________(ÌîÈëÑ¡ÏîǰµÄ×Öĸ£¬ÓÐÌî´íµÄ²»µÃ·Ö)

A.pb£¾pc£¬Qab£¾Qac                        B.pb£¾pc£¬Qab£¼Qac

C.pb£¼pc£¬Qab£¾Qac                        D.pb£¼pc£¬Qab£¼Qac

(2)ͼÖÐϵͳÓÉ×óÓÒÁ½¸ö²à±Ú¾øÈÈ¡¢µ×²¿µ¼ÈÈ¡¢½ØÃæ¾ùΪSµÄÈÝÆ÷×é³É¡£×óÈÝÆ÷×ã¹»¸ß£¬É϶˳¨¿ª£¬ÓÒÈÝÆ÷É϶ËÓɵ¼ÈȲÄÁÏ·â±Õ¡£Á½ÈÝÆ÷µÄ϶ËÓɿɺöÂÔÈÝ»ýµÄϸ¹ÜÁ¬Í¨¡£

ÈÝÆ÷ÄÚÁ½¸ö¾øÈȵĻîÈûA¡¢BÏ·½·âÓеªÆø£¬BÉÏ·½·âÓÐÇâÆø¡£´óÆøµÄѹǿΪp0£¬Î¶ÈΪT0=273 K£¬Á½»îÈûÒò×ÔÉíÖØÁ¿¶ÔÏ·½ÆøÌå²úÉúµÄ¸½¼Óѹǿ¾ùΪ0.1p0¡£ÏµÍ³Æ½ºâʱ£¬¸÷ÆøÖùµÄ¸ß¶ÈÈçͼËùʾ¡£ÏÖ½«ÏµÍ³µ×²¿½þÈëºãÎÂÈÈË®²ÛÖУ¬ÔÙ´ÎÆ½ºâʱAÉÏÉýÁËÒ»¶¨¸ß¶È¡£ÓÃÍâÁ¦½«A»ºÂýÍÆ»ØµÚÒ»´ÎƽºâʱµÄλÖò¢¹Ì¶¨£¬µÚÈý´Î´ïµ½Æ½ºâºó£¬ÇâÆøÖù¸ß¶ÈΪ0.8h¡£µªÆøºÍÇâÆø¾ù¿ÉÊÓΪÀíÏëÆøÌå¡£Çó

(i)µÚ¶þ´ÎƽºâʱµªÆøµÄÌå»ý£»

(ii)Ë®µÄζȡ£

3.£ÛÎïÀí¡ª¡ªÑ¡ÐÞ3-4£Ý

(1)ijÕñ¶¯ÏµÍ³µÄ¹ÌÓÐÆµÂÊΪf0£¬ÔÚÖÜÆÚÐÔÇý¶¯Á¦µÄ×÷ÓÃÏÂ×öÊÜÆÈÕñ¶¯£¬Çý¶¯Á¦µÄƵÂÊΪf¡£ÈôÇý¶¯Á¦µÄÕñ·ù±£³Ö²»±ä£¬ÏÂÁÐ˵·¨ÕýÈ·µÄÊÇ______(ÌîÈëÑ¡ÏîǰµÄ×Öĸ£¬ÓÐÌî´íµÄ²»µÃ·Ö)

A.µ±f£¼f0ʱ£¬¸ÃÕñ¶¯ÏµÍ³µÄÕñ·ùËæfÔö´ó¶ø¼õС

B.µ±f£¾f0ʱ£¬¸ÃÕñ¶¯ÏµÍ³µÄÕñ·ùËæf¼õС¶øÔö´ó

C.¸ÃÕñ¶¯ÏµÍ³µÄÕñ¶¯Îȶ¨ºó£¬Õñ¶¯µÄƵÂʵÈÓÚf0

D.¸ÃÕñ¶¯ÏµÍ³µÄÕñ¶¯Îȶ¨ºó£¬Õñ¶¯µÄƵÂʵÈÓÚf

(2)Ò»Àâ¾µµÄ½ØÃæÎªÖ±½ÇÈý½ÇÐÎABC£¬¡ÏA=30¡ã£¬Ð±±ßAB=a¡£Àâ¾µ²ÄÁϵÄÕÛÉäÂÊΪ¡£Ôڴ˽ØÃæËùÔ򵀮½ÃæÄÚ£¬Ò»Ìõ¹âÏßÒÔ45¡ãµÄÈëÉä½Ç´ÓAC±ßµÄÖеãMÉäÈëÀâ¾µ¡£»­³ö¹â·ͼ£¬²¢Çó¹âÏß´ÓÀâ¾µÉä³öµÄµãµÄλÖÃ(²»¿¼ÂǹâÏßÑØÔ­Â··µ»ØµÄÇé¿ö)¡£

4.£ÛÎïÀí¡ª¡ªÑ¡ÐÞ3-5£Ý

(1)¹ØÓÚ¹âµçЧӦ£¬ÏÂÁÐ˵·¨ÕýÈ·µÄÊÇ________(ÌîÈëÑ¡ÏîǰµÄ×Öĸ£¬ÓÐÌî´íµÄ²»µÃ·Ö)

A.¼«ÏÞÆµÂÊÔ½´óµÄ½ðÊô²ÄÁÏÒݳö¹¦Ô½´ó

B.Ö»Òª¹âÕÕÉäµÄʱ¼ä×ã¹»³¤£¬ÈκνðÊô¶¼ÄܲúÉú¹âµçЧӦ

C.´Ó½ðÊô±íÃæ³öÀ´µÄ¹âµç×ÓµÄ×î´ó³õ¶¯ÄÜÔ½´ó£¬ÕâÖÖ½ðÊôµÄÒݳö¹¦Ô½Ð¡

D.ÈëÉä¹âµÄ¹âǿһ¶¨Ê±£¬ÆµÂÊÔ½¸ß£¬µ¥Î»Ê±¼äÄÚÒݳöµÄ¹âµç×ÓÊý¾ÍÔ½¶à

(2)Á½¸öÖÊÁ¿·Ö±ðΪM1ºÍM2µÄÅüAºÍB£¬¸ß¶ÈÏàͬ£¬·ÅÔÚ¹â»¬Ë®Æ½ÃæÉÏ¡£AºÍBµÄÇãÐ±Ãæ¶¼Êǹ⻬ÇúÃæ£¬ÇúÃæÏ¶ËÓëË®Æ½ÃæÏàÇУ¬ÈçͼËùʾ¡£Ò»ÖÊÁ¿ÎªmµÄÎï¿éλÓÚÅüAµÄÇãÐ±ÃæÉÏ£¬¾àË®Æ½ÃæµÄ¸ß¶ÈΪh¡£Îï¿é´Ó¾²Ö¹¿ªÊ¼»¬Ï£¬È»ºóÓÖ»¬ÉÏÅüB¡£ÇóÎï¿éÔÚBÉÏÄܹ»´ïµ½µÄ×î´ó¸ß¶È¡£

(Ñ¡ÐÞÄ£¿é3¡ª5)

£¨1£©ÏÂÁÐ˵·¨ÖÐÕýÈ·µÄÓÐ__¡ø___£®

£¨A£©Ì«ÑôÄÚ²¿½øÐÐמçÁÒµÄÁѱ䷴Ӧ

£¨B£©ÆÕÀÊ¿ËΪÁ˽âÊ͹âµçЧӦµÄ¹æÂÉ£¬Ìá³öÁ˹â×Ó˵

£¨C£©ÌìÈ»·ÅÉäÏÖÏóµÄ·¢ÏÖ½Òʾԭ×ÓºËÓи´ÔӵĽṹ

£¨D£©Ô­×Ӻ˵ĽáºÏÄÜÔ½´ó£¬±íʾºË×Ó½áºÏµÃÔ½Àι̣¬Ô­×Ó¾ÍÔ½Îȶ¨

£¨2£©ÏÂÁÐËÄ·ùÍ¼Éæ¼°µ½²»Í¬µÄÎïÀí֪ʶ£¬ÆäÖÐ˵·¨ÕýÈ·µÄÊÇ  ¡ø  

A£®Í¼¼×£ºÆÕÀÊ¿Ëͨ¹ýÑо¿ºÚÌå·øÉäÌá³öÄÜÁ¿×ӵĸÅÄ³ÉΪÁ¿×ÓÁ¦Ñ§µÄµì»ùÈËÖ®Ò»

B£®Í¼ÒÒ£º²£¶ûÀíÂÛÖ¸³öÇâÔ­×ÓÄܼ¶ÊÇ·ÖÁ¢µÄ£¬ËùÒÔÔ­×Ó·¢Éä¹â×ӵįµÂÊÒ²ÊDz»Á¬ÐøµÄ

C£®Í¼±û£ºÂ¬Éª¸£Í¨¹ý·ÖÎö¦ÁÁ£×ÓÉ¢ÉäʵÑé½á¹û£¬·¢ÏÖÁËÖÊ×ÓºÍÖÐ×Ó

D£®Í¼¶¡£º¸ù¾Ýµç×ÓÊøÍ¨¹ýÂÁ²­ºóµÄÑÜÉäͼÑù£¬¿ÉÒÔ˵Ã÷µç×Ó¾ßÓÐÁ£×ÓÐÔ

£¨3£©ÈçͼËùʾÊÇʹÓùâµç¹ÜµÄÔ­Àíͼ£®µ±ÆµÂÊΪvµÄ¿É¼û¹âÕÕÉäµ½Òõ¼«KÉÏʱ£¬µçÁ÷±íÖÐÓеçÁ÷ͨ¹ý£®

¢Ùµ±±ä×èÆ÷µÄ»¬¶¯¶ËPÏò    ¡ø    »¬¶¯Ê±£¨Ìî¡°×ó¡±»ò¡°ÓÒ¡±£©£¬Í¨¹ýµçÁ÷±íµÄµçÁ÷½«»á¼õС£®

¢Úµ±µçÁ÷±íµçÁ÷¸Õ¼õСµ½Áãʱ£¬µçѹ±íµÄ¶ÁÊýΪU£¬Ôò¹âµç×ÓµÄ×î´ó³õ¶¯ÄÜΪ    ¡ø    £¨ÒÑÖªµç×ÓµçºÉÁ¿Îªe£©£®

¢ÛÈç¹û²»¸Ä±äÈëÉä¹âµÄƵÂÊ£¬¶øÔö¼ÓÈëÉä¹âµÄÇ¿¶È£¬Ôò¹âµç×ÓµÄ×î´ó³õ¶¯Äܽ«__¡ø___ £¨Ìî¡°Ôö¼Ó¡±¡¢¡°¼õС¡±»ò¡°²»±ä¡±£©£®

£¨4£©ºËÄÜÊÇÒ»ÖֽϺõÄÇå½àÄÜÔ´£¬Ä³ºËµçÕ¾µÄ×Ü×°»úÈÝÁ¿Îª P =1.0¡Á106 kW£¬Õý³£¹¤×÷ʱµÄЧÂÊΪ¦Ç=20%¡£

¢Ù ÀûÓúËÄܵÄÁ½ÖÖ;¾¶ÊÇʲô£¿

¢Ú ¸ÃºËµçվÿÌìºËȼÁÏ·´Ó¦¹ý³ÌÖеÄÖÊÁ¿¿÷ËðÊǶàÉÙ£¿

(Ñ¡ÐÞÄ£¿é3¡ª5)£¨18·Ö£©

£¨1£©ÏÂÁÐ˵·¨ÖÐÕýÈ·µÄÓÐ__¡ø___£®

£¨A£©Ì«ÑôÄÚ²¿½øÐÐמçÁÒµÄÁѱ䷴Ӧ

£¨B£©ÆÕÀÊ¿ËΪÁ˽âÊ͹âµçЧӦµÄ¹æÂÉ£¬Ìá³öÁ˹â×Ó˵

£¨C£©ÌìÈ»·ÅÉäÏÖÏóµÄ·¢ÏÖ½Òʾԭ×ÓºËÓи´ÔӵĽṹ

£¨D£©Ô­×Ӻ˵ĽáºÏÄÜÔ½´ó£¬±íʾºË×Ó½áºÏµÃÔ½Àι̣¬Ô­×Ó¾ÍÔ½Îȶ¨

£¨2£©ÏÂÁÐËÄ·ùÍ¼Éæ¼°µ½²»Í¬µÄÎïÀí֪ʶ£¬ÆäÖÐ˵·¨ÕýÈ·µÄÊÇ ¡ø  

A£®Í¼¼×£ºÆÕÀÊ¿Ëͨ¹ýÑо¿ºÚÌå·øÉäÌá³öÄÜÁ¿×ӵĸÅÄ³ÉΪÁ¿×ÓÁ¦Ñ§µÄµì»ùÈËÖ®Ò»

B£®Í¼ÒÒ£º²£¶ûÀíÂÛÖ¸³öÇâÔ­×ÓÄܼ¶ÊÇ·ÖÁ¢µÄ£¬ËùÒÔÔ­×Ó·¢Éä¹â×ӵįµÂÊÒ²ÊDz»Á¬ÐøµÄ

C£®Í¼±û£ºÂ¬Éª¸£Í¨¹ý·ÖÎö¦ÁÁ£×ÓÉ¢ÉäʵÑé½á¹û£¬·¢ÏÖÁËÖÊ×ÓºÍÖÐ×Ó

D£®Í¼¶¡£º¸ù¾Ýµç×ÓÊøÍ¨¹ýÂÁ²­ºóµÄÑÜÉäͼÑù£¬¿ÉÒÔ˵Ã÷µç×Ó¾ßÓÐÁ£×ÓÐÔ

£¨3£©ÈçͼËùʾÊÇʹÓùâµç¹ÜµÄÔ­Àíͼ£®µ±ÆµÂÊΪvµÄ¿É¼û¹âÕÕÉäµ½Òõ¼«KÉÏʱ£¬µçÁ÷±íÖÐÓеçÁ÷ͨ¹ý£®

¢Ùµ±±ä×èÆ÷µÄ»¬¶¯¶ËPÏò   ¡ø    »¬¶¯Ê±£¨Ìî¡°×ó¡±»ò¡°ÓÒ¡±£©£¬Í¨¹ýµçÁ÷±íµÄµçÁ÷½«»á¼õС£®

¢Úµ±µçÁ÷±íµçÁ÷¸Õ¼õСµ½Áãʱ£¬µçѹ±íµÄ¶ÁÊýΪU£¬Ôò¹âµç×ÓµÄ×î´ó³õ¶¯ÄÜΪ   ¡ø    £¨ÒÑÖªµç×ÓµçºÉÁ¿Îªe£©£®

¢ÛÈç¹û²»¸Ä±äÈëÉä¹âµÄƵÂÊ£¬¶øÔö¼ÓÈëÉä¹âµÄÇ¿¶È£¬Ôò¹âµç×ÓµÄ×î´ó³õ¶¯Äܽ«__¡ø___ £¨Ìî¡°Ôö¼Ó¡±¡¢¡°¼õС¡±»ò¡°²»±ä¡±£©£®

£¨4£©ºËÄÜÊÇÒ»ÖֽϺõÄÇå½àÄÜÔ´£¬Ä³ºËµçÕ¾µÄ×Ü×°»úÈÝÁ¿Îª P=1.0¡Á106 kW£¬Õý³£¹¤×÷ʱµÄЧÂÊΪ¦Ç=20%¡£

¢Ù ÀûÓúËÄܵÄÁ½ÖÖ;¾¶ÊÇʲô£¿

¢Ú ¸ÃºËµçվÿÌìºËȼÁÏ·´Ó¦¹ý³ÌÖеÄÖÊÁ¿¿÷ËðÊǶàÉÙ£¿

 

Î¥·¨ºÍ²»Á¼ÐÅÏ¢¾Ù±¨µç»°£º027-86699610 ¾Ù±¨ÓÊÏ䣺58377363@163.com

¾«Ó¢¼Ò½ÌÍø