题目内容
有一个物体在h高处,以水平初速度v抛出,落地时的速度为vt,竖直分速度为vy,下列公式能用来计算该物体在空中运动时间的是( )A.
B.
C.
D.
【答案】分析:求出竖直方向上的分速度vy,根据vy=gt求出运动的时间.或根据
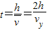
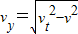
求出运动的时间.或求出竖直方向上的平均速度,根据
求出运动的时间.
解答:解:A、
,根据vy=gt得,t=
.故A正确.
B、落地时的速度与初速度不在同一条直线上,不能相减.故B错误.
C、根据
得,t=
.故C正确.
D、在竖直方向上平均速度
,所以物体在空中运动的时间
.故D正确.
故选ACD.
点评:解决本题的关键知道平抛运动在竖直方向上做匀加速直线运动可以根据落地速度在竖直方向上的分速度或高度去求运动的时间.
解答:解:A、
B、落地时的速度与初速度不在同一条直线上,不能相减.故B错误.
C、根据
D、在竖直方向上平均速度
故选ACD.
点评:解决本题的关键知道平抛运动在竖直方向上做匀加速直线运动可以根据落地速度在竖直方向上的分速度或高度去求运动的时间.
练习册系列答案
相关题目