题目内容

光滑圆柱体放在V形槽中,截面如图所示,它的左边接触处为A,V形槽间夹角为2α(2α>90°).用一细绳拴住V形槽,另一端通过定滑轮拴住一重物.设圆柱质量为m,槽的质量为M,不计各种摩擦和滑轮的质量,当质量足够大时,在运动中圆柱体可以从槽中滚出,欲使圆柱体在运动中不离开V形槽,则重物,应满足什么条件?

答案:略
解析:

圆柱休受到重力mgA点支持力作用,设圆柱体随同V形槽前进而不滚出的前进加速度为a,则a是由重力与支持力共同作用产生的,从图中可知,ma=mg·cotα,所以a=gcotα

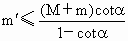
从整体为研究对象有

的质量满足时,圆柱体不会从槽中滚出.


练习册系列答案
相关题目

违法和不良信息举报电话:027-86699610 举报邮箱:58377363@163.com

精英家教网