题目内容
如图所示,a、b、c是在地球大气层外圆形轨道上运行的三颗人造地球卫星,下列说法中正确的是( )A.b、c的线速度大小相等,且大于a的线速度
B.b、c的向心加速度大小相等,且大于a的向心加速度
C.c加速(速率增大)可追上同一轨道上的b
D.b、c周期相等,且大于a的周期
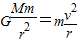
【答案】分析:根据万有引力提供向心力
,比较线速度、向心加速度.
解答:解:A、根据
得:v=
,知b、c的线速度大小相等,且小于a的线速度.故A错误;
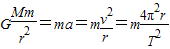
B、根据
得:a=
,知b、c的向心加速度大小相等,且小于a的向心加速度.故B错误;
C、c加速,万有引力不足以提供向心力,c做离心运动.所以不会追上同一轨道上的b.故C错误;
D、根据
得:T=
知b、c的周期相等,且大于a的周期,故D正确.
故选D.
点评:解决本题的关键掌握万有引力提供向心力
.能够根据该规律比较线速度、向心加速度.
解答:解:A、根据
B、根据
C、c加速,万有引力不足以提供向心力,c做离心运动.所以不会追上同一轨道上的b.故C错误;
D、根据
故选D.
点评:解决本题的关键掌握万有引力提供向心力
练习册系列答案
相关题目