题目内容

示波器的工作中,每单位电势差所引起的偏转距离称为示波器的灵敏度,为了提高灵敏度可采用方法

[  ]

A.增加偏转电极的板面长度

B.缩短偏转电极的板面长度

C.减小偏转电极的板面距离

D.加大电子枪的加速电压

答案:AC
解析:

思路点拨:本题的关键在于明确示波管的工作原理并能正确推导出灵敏度的表达式.下图是示波管的原理图.其工作时,如果只在偏转电极上加电压(U),偏转电极上不加电压,电子(经加速之后)在偏转电极的电场中发生偏转,离开后沿直线运动,打在荧光屏上的亮斑在竖直方向发生偏移(如下图),偏移距离可如下推导.

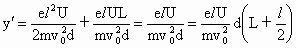
之间距离为d,电子入射时速度,电子在竖直方向做匀加速运动加速度,电子射出时竖直偏移距离为y,其中t为飞行时间.由于电子在水平方向上做匀速运动,由可求得,将at代入中,得电子飞离偏转电场后,沿与水平成角做匀速直线运动,角可如下求知.由于电子离开电场时竖直方向分速度,故

显然图中,故打在屏上的亮斑在竖直方向的偏移距离

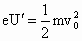
设电子在进入偏转场之前加速电压为,则,故偏转距离

依题意灵敏度

小结点评:(1)本题所示的物理图景很具典型性,对于偏转距离和偏转角度的公式不要硬记,要掌握求解方法.

(2)在这类偏转问题中还有一个重要规律:逆着带电粒子偏转方向看去,这些粒子都好像是从电极的处沿直线射出的,故偏移距离,上述结果完全相同.


练习册系列答案
相关题目

违法和不良信息举报电话:027-86699610 举报邮箱:58377363@163.com

精英家教网